МИНИСТЕРСТВО ОБРАЗОВАНИЯ И НАУКИ
РЕСПУБЛИКИ КАЗАХСТАН
АЛМАТИНСКИЙ ИНСТИТУТ ЭНЕРГЕТИКИ И СВЯЗИ
С. В. Коньшин, Д. О. Ким
Основы теории движения спутников на орбите
Учебное пособие
Алматы 2008
ББК 32.884.1
О-75
Основы теории движения спутников на орбите:
Учеб. пособие / C.В. Коньшин, Д.О. Ким. – Алматы: АИЭС,
2008. - 80с.
ISBN 9965-708-52-5
Учебное пособие посвящено теоретическим основам движения космических аппаратов на орбиту и движению в поле гравитационных сил и необходимо при изучении дисциплин аэрокосмического направления. В учебном пособии помимо общих положений теории невозмущенного и возмущенного движения космических аппаратов рассматриваются такие важные основы теории движения искусственных спутников Земли, как динамика полета на участке выведения, при орбитальном маневрировании и сближении.
Учебное пособие предназначено для студентов всех форм обучения при изучении вопросов космической связи по специальности подготовки бакалавра и магистра "Радиотехника, электроника и телекоммуникации".
Содержание
1 Развитие спутниковых систем связи и вещания
1.1 Особенности спутников связи
1.2 Исторический обзор развития спутниковых систем
2.1 Орбиты спутников связи, способ вывода спутников на орбиту
3.7 Круговая, параболическая и гиперболическая орбиты
3.8 Элементы геоцентрических орбит
4.1 Основные методы исследования возмущенного движения КА
4.2 Метод оскулирующих элементов
4.3 Изменение элементов орбиты под действием возмущающих сил
4.4 Уравнения оскулирующих элементов
4.5 Уравнения изменения составляющих орбитальной скорости под
4.6 Возмущенное движение КА в гравитационном поле Земли
4.7 Влияние атмосферы Земли на движение КА. Время существования КА
5.1 Импульсные маневры коррекции элементов орбиты
5.2 Маневры орбитального перехода
1 Развитие спутниковых систем связи и вещания
1.1 Особенности спутников связи
К особенности спутников связи относится широкая полоса частот, больше полосы традиционных систем межконтинентальной связи. Хотя дальние передачи высококачественных ТВ изображений по СВЧ радиорелейным и кабельным линиям возможны давно, трансатлантическая передача ТВ программ впервые осуществлена только после вывода на орбиту первого активного спутника связи. Самая важная особенность - спутниковая связь позволяет осуществить всемирную связь. С развитием оптики (оптоволоконной) возможна связь на ОВЧ. Но у кабеля есть всегда два жестко закрепляемых конца, и пункты, между которыми осуществляется связь, которые должны быть физически соединены между собой. Для спутниковых систем таких требований нет. Гибкость спутниковых систем характерна не только при обеспечении связи между фиксированными пунктами на Земле, но и при связи с подвижными объектами (суда, самолеты, космические корабли).
1.2 Исторический обзор развития спутниковых систем
Истоки идеи спутниковой связи не ясны. Но идея синхронного, или геостационарного, спутника предложена Артуром Кларком. Он предложил использовать геостационарные орбиты для ЧМ - вещания. Кларк предвидел использование в космосе электрической энергии от солнечных батарей. Реализация идеи стала возможной лишь с наступлением космической эры, открывшейся запуском в СССР первого ИСЗ в октябре 1957 года.
Космическая радиосвязь возникла еще до вывода первого ИСЗ на орбиту Земли. Это была пассивная радиосвязь, когда принимались отраженные от каких-либо препятствий радиоволны. Наиболее доступным отражателем являлась Луна. Возможность приема радиолокационных отражений от Луны и использование их для установления связи неоднократно демонстрировалось в конце 40-х и начале 50-х годов.
Далее приводятся некоторые даты в развитии спутниковых систем.
Июль 1954 г. - ВМС США впервые осуществила передачу телефонных сообщений по трассе Земля - Луна - Земля.
1956 г. - между Вашингтоном и Гавайскими островами была установлена связь с использованием Луны в качестве пассивного ретранслятора. Линия работала до 1962 г. и обеспечивала надежную дальнюю связь, ограничиваемую только условиями одновременной видимости Луны из пунктов передачи и приема (Рпередатчика=100 кВт, f = 430 МГц, Dа =26 м).
В качестве пассивного ретранслятора, который рассеивает ЭМВ использовался и металлизированный шар, выведенный на орбиту ракетой.
В начале августа 1960 г. с помощью спутника ЕСНО впервые успешно установлена связь на f = 960 и 2290 МГц между штатом Калифорния (г. Голдстон) и штатом Нью-Джерси (г. Хоумдел). Спутник - шар, обращавшийся по наклонной орбите на высоте 1500 км, был виден невооруженным взглядом.
Хотя возможности обеспечения связи с многостанционным доступом при помощи пассивных спутников неограниченны, существенным недостатком таких систем связи является крайне неэффективное использование излучаемой мощности. В эксперименте ЕСНО только 10-18 часть передаваемой мощности возвращалось к приемной антенне. Так как сигнал не должен "тонуть" в шумах, имеющих различное происхождение, нужны специальные малошумящие приемники. Достоинство пассивных спутников: не требуется сложной современной бортовой аппаратуры. Для слежения за спутником может понадобиться установка на нем радиомаячного передатчика, но, в общем, не требуется ни сложного современного оборудования, ни аппаратуры для стабилизации пространственного положения (для сферического спутника).
Из-за простоты и того, что в конце 50-х еще не было современной космической аппаратуры, пассивные системы были привлекательны.
Недостатки пассивных систем стали заметнее с появлением активных спутников, а особенно с появлением возможности вырабатывать мощность на борту. Убывание мощности сигнала активных спутников обратно пропорционально R2 , где R - расстояние от наземной станции до спутника, (для пассивных - как при радиолокационном отражении мощность убывает пропорционально R4) - решающий фактор в пользу активных спутников.
Впервые голос человека передан из космоса со спутника "Скор" в 1958 г., на борту которого находилась магнитофонная запись рождественского послания президента Эйзенхауэра. Записывающая аппаратура позволила производить накопление информации для последующей передачи - это ретрансляторы замедленного действия. Военный спутник "Курьер-18" (1960 г.) накапливал и передавал информацию со скоростью до 68000 слов/мин. На нем использовались солнечные элементы. На "Скор" - гальванические элементы. Если не считать первых космических зондов, таких как "Спутник", Explorer и спутники, запущенные по проекту Courier (это были первые спутники связи, использующие запись и последующую ретрансляцию сообщений), то одну из основных вех экспериментального этапа спутниковой связи на основе активных ИСЗ заложил проект Telstar. Этот проект был начат фирмой АТ&Т и Bell Laboratories на основе данных о пассивном спутнике ЕСНО.
Первый спутник Telstar (шар диаметром 87 см с m=80 кг) запущен с мыса Каннаверал 10 июля 1962 г. Он вращался вокруг Земли по эллиптической орбите с апогеем 5600 км и периодом обращения 2,5 ч. В первой телепередаче был показан американский флаг, развевающийся на ветру, для Великобритании, Франции и на станцию в США в Нью - Джерси, через 15 часов после запуска спутника. Ученые убедились во вредном воздействии радиации на солнечные элементы.
ИСЗ Telstar 2 с повышенной устойчивостью к радиации запущен в мае 1969 г. Мощность спутников Telstar 1 и Telstar 2 составляла 2,25 Вт. Эта мощность обеспечивалась ЛБВ (ширина полосы по ВЧ 50 МГц на f = 6 и 4 ГГц). Оба спутника стабилизировались вращением. Суммарная пропускная способность 600 телефонных каналов или один ТВ канал. Так как отношение уровня несущей к уровню шума на участке Спутник - Земля оказалось низким, в приемниках земных станций применялась обратная связь по частоте, обеспечивающая снижение порога. Это были экспериментальные, а не коммерческие системы.
26 июля 1963 г. на геостационарную орбиту над Атлантическим океаном выведен спутник "Синком-2". У "Синком-1" отказала аппаратура.
20 августа 1964 г. - 11 государств подписали соглашение, на основе которого была создана организация - Международный консорциум спутниковой связи, известный как INTELSAT. В задачу организации входили разработка, проектирование, изготовление, ввод в действие и эксплуатация спутников на орбите, средств вывода и управления глобальной коммерческой спутниковой системы связи. Коммерческая связь с использованием спутников официально открылась в апреле 1965 г., когда с космодрома Кеннеди был запущен первый в мире коммерческий спутник связи INTELSAT 1 с пропускной способностью 240 телефонных линий (назывался Early Bird). Он перестал функционировать в январе 1969 г., когда две серии спутников - INTELSAT-2 и 3 - осуществили покрытие регионов Атлантического и Тихого океанов. Early Bird намечалось эксплуатировать 1.5 года, фактически же эксплуатация продолжалась 4 года со 100% надежностью.
На INTELSAT-1 и 2 были ненаправленные антенны, что приводило к большим потерям сигнала. На INTELSAT-3 рупор антенны был направлен на эллиптический отражатель, установленный на поворотном основании, и таким образом излучение направлялось только на Землю. В 1971 г. введен спутник INTELSAT-4. Спутник с массой 730 кг не только обеспечивал покрытие всей видимой земной поверхности, но имел еще 2 узких луча с шириной главного лепестка 4°, которые могли использоваться по выбору для покрытия Европы, Северной и Южной Америки. INTELSAT-4 - это спутник, стабилизированный вращением, но вся его антенная система, состоящая из 13 антенн, вращалась в обратную сторону, так что она постоянно остается ориентированной в направлении Земли. Узкие лучи формировались двумя большими параболическими антеннами. Каждый спутник обеспечивал передачу не менее 6000 телефонных каналов. INTELSAT 4 позволял вести одновременно передачу 12 цветных ТВ программ. Стоимость обслуживания 1 линии составила 1000$. 1980 г. - INTELSAT-5 - 12000 телефонных каналов + 2 канала цветного ТВ. Работал в диапазоне 6/4 ГГц и в новом диапазоне 14/11 ГГц.
Советские системы. В 1965 г. запущена серия "Молния" - крупнейшая система спутниковой связи. Спутники имели сильно вытянутые эллиптические орбиты с апогеем над Северным полушарием (12-часовая орбита). Обеспечивалась телефонная и телеграфная связь, передача программ черно-белого ТВ. Каждая серия ("Молния-1 и 2") включала 4 пары спутников, обращающихся на орбите на угловом расстоянии друг от друга 90°. Рабочий диапазон частот 800-1000 МГц. 1974 г. "Молния-3" - цветное ТВ, диапазон 4-6 ГГц. На базе спутников "Молния" построена система дальней космической связи "Орбита". Декабрь 1975 г. - спутник "Радуга" (международное название "Стационар-1") на геостационарной орбите и "Экран" ("Стационар-Т"). Декабрь 1978 г. - геостационарный спутник "Горизонт".
2.1 Орбиты спутников
связи, способ вывода спутников на орбиту.
По углу наклона (угол между плоскостью орбиты и плоскостью экватора a) орбиты делят на следующие типы:
- экваториальные (a=0°);
- полярные (a=90°);
- наклонные (0°<a<90°).
По форме орбиты:
- эллиптические (эксцентриситет 0<е<1);
- круговые (е=0).
По высоте орбиты:
- низкие (h=150-5000 км) с малым периодом обращения (1-3 часа);
- высокие (h>5000 км) с большим периодом обращения.
Если требуется, чтобы сеанс связи повторялся в одно и то же время суток, то применяют синхронные или субсинхронные орбиты, для которых период обращения равен длительности суток, деленное на целое число. Если один ИСЗ не обеспечивает круглосуточной связи, то используют несколько ИСЗ, смещенных по положению на орбите.
Орбита с периодом 24 часа называется стационарной, если ИСЗ движется в сторону вращения Земли с a=0° называется синхронной (спутник неподвижен относительно Земли).
Полустационарная стабильная орбита - с наклоном 63,5° с периодом обращения 24 часа (проекция на землю - повторяющиеся восьмерки).
Согласно 2-му закону Кеплера радиус - вектор спутника в равные промежутки времени описывает равные площади. Поэтому движение ИСЗ на большой высоте (в апогее) замедляется, а в перигее ускоряется.
Низкие орбиты. Применяют для обеспечения связи непосредственно с мобильных переносных радиотелефонов. Достоинства: проще выводить спутник на орбиту (малые затраты); меньше затухание (ослабление) сигнала.
Недостатки:
- на малых высотах магнитное поле Земли имеет относительно большую напряженность и захватывает протоны с высокой энергией, образуя радиационные пояса Ван - Аллена. При движении в них спутника уровень радиации так высок, что солнечные элементы и другие полупроводниковые приборы быстро выходят из строя. Используют защитные покрытия или применяют более стойкие приборы, что ухудшает характеристики системы;
- магнитное поле Земли взаимодействует с полем токонесущих проводников и оболочки спутника, стабилизируемого вращением, что замедляет скорость его вращения. Требуется периодическая коррекция траектории спутника, что приводит к необходимости увеличения запасов топлива на борту ИСЗ;
- значительную часть времени спутник находится в тени Земли, что приводит к увеличению емкости аккумуляторов и к увеличению числа солнечных батарей, чтобы за время нахождения на Солнце зарядить их;
- необходимость использования нескольких спутников для обеспечения круглосуточной связи;
- сложная система слежения за спутником.
Период обращения спутника определяется выражением
, где А - величина
главной (большой) полуоси эллипса; G - гравитационная постоянная (
км3/с2).
Обращение спутника по круговой орбите с периодом, равном периоду вращения Земли (длительность сидерических суток 23 ч 56 мин 4,09 с), требует вывода спутника на высоту 35800 км. В экваториальной плоскости такой спутник будет неподвижен по отношению к любой точке на Земле (геостационарный спутник). В других плоскостях на этой высоте он будет каждые сутки описывать восьмерки относительно Земли.
Геостационарная орбита обладает следующими свойствами: земная станция может работать с одним или (при наличии многолучевой антенны) с несколькими спутниками без необходимости перехода на связь с одного спутника на другой (при нестационарных спутниках). Три спутника, размещенных соответствующим образом могут перекрыть всю Землю. Недостатки: вывести спутники на такую орбиту довольно трудно; не обеспечивается покрытие полярных районов.
Обжитые области земного шара расположены большей частью в пределах геостационарных спутников. Поэтому для покрытия этих районов требуется использование высоких и средних орбит. Поддержка связи с высокими широтами необходима для сбора данных и в военной связи. На средневысотные полярные орбиты можно выводить гораздо большую полезную нагрузку.
Высокая орбита - орбита спутника "Молния" (СССР), используется для внутригосударственной связи. Эта орбита позволяет покрыть районы Дальнего Севера без уменьшения полезной нагрузки. Спутники "Молния" имеют сильно вытянутую эллиптическую орбиту с периодом обращения 12 ч и апогеем 40000 км в северном полушарии, перигеем 500 км.
Обычно главная ось любой эллиптической орбиты, называемая линией апсид, совершает медленное вращение вследствие несферичности Земли ("сплющенности" у полюсов). При некотором значении угла наклонения орбиты (около 62°) этот эффект исчезает. Орбита с 12-часовым периодом при этом угле наклонения и апогее в северном полушарии оказывается удобным для покрытия северных районов. Эта орбита отличается тем, что на нее легко вывести полезную нагрузку со стартовых площадок, расположенных в северных широтах. Баллистические закономерности запуска таковы, что при любом угле наклонения орбиты, значение которого меньше широты стартовой площадки (например, для экваториальной), требуется особый маневр. Для стартовых площадок, расположенных в северных широтах, потери выводимой на орбиту полезной нагрузки довольно значительны. Это повлияло на СССР применить наклонную орбиту при запуске спутников со стартовых площадок, расположенных выше 45° с.ш. и на Францию разместить стартовые площадки во Французской Гвиане.
Покрытие северных районов достигается за счет одновременного функционирования нескольких спутников. Такая система часто менее удобна, чем система синхронных спутников. Первая космическая скорость 7,91 км/с.
Рассмотрим схему траектории, считая, что движение ракет - носителей и спутников относительно Земли определяется классическими законами Ньютона для двух испытывающих гравитационное взаимодействие тел в изолированном пространстве.
Исходя из этого, полная энергия такой системы двух тел
определяется выражением
, где v - скорость объекта, m - его
масса, R - расстояние от объекта до центра Земли, М - масса Земли (5,9*1024
кг); G - универсальная гравитационная постоянная.
Когда спутнику сообщается количество энергии, достаточное для его вывода на геостационарную орбиту, носитель должен вывести спутник в точку, удаленную от центра Земли на 42160 км (радиус Земли на экваторе составляет 6360 км) и сообщить ему скорость равную 3070 м/с. Вследствие физических ограничений не удается с помощью носителя сообщить эту энергию спутнику путем непрерывно протекающего процесса.
В эквипотенциальном поле максимальное приращение
скорости DV реактивной системы определяется соотношением:
, где с - эффективная
скорость истечения газа, зависящая от типа топлива и размеров сопла;
m0 - полная масса системы, выводимой на орбиту; mf
- масса израсходованного топлива.
Максимальное приращение скорости в пределе ограничивается практически достижимыми значениями параметров двигателя, т.е. скоростью истечения газа и конструкцией ракеты-носителя (mf/m0). Из приведенного уравнения следует, что одна ракета не в состоянии обеспечить приращение скорости, достаточное для вывода спутника непосредственно на орбиту. Чтобы обойти это ограничение, используют процедуру многоступенчатого вывода, которая обеспечивает необходимое конечное значение скорости за счет последовательного использования нескольких ступеней, каждая из которых включается после полного выгорания топлива предыдущей ступени и ее отторжения.
Основные этапы оптимальной траектории вывода спутника на стационарную орбиту (нулевое наклонение орбиты в плоскости экватора):
- старт в восточном направлении из точки, расположенной вблизи экватора с целью максимального использования скорости вращения Земли (465 м/с). Полное выгорание и отторжение первой ступени носителя. Запуск второй ступени и отсечка двигателя по достижении первой круговой парковочной орбиты (высота 185-250 км). Вторичное включение двигателя второй ступени непосредственно перед пересечением экватора и включение третьей ступени (если она есть) и работа ее до полного выгорания. При этом спутник с парковочной орбиты переходит на промежуточную эллиптическую орбиту, называется переходной. Скорость спутника доводится до 36700 км/ч. Апогей переходной орбиты находится на высоте геостационарной орбиты, перигей - в точке пересечения с экватором. Наклонение этой орбиты выбирается так, чтобы максимизировать выводимую на конечную орбиту массу. Выход на переходную орбиту - в момент второго пересечения экваториальной плоскости;
- отделение спутника от носителя с последующим угловым маневрированием на переходной орбите (КЛА в режиме вращения) с целью обеспечения подходящей ориентации перед запуском двигателя дополнительной ступени в апогее (апогейный двигатель или верхняя ступень - неотъемлемая часть КЛА).
- запуск апогейного двигателя после выполнения нескольких разворотов на переходной орбите. Его работа продолжается до полного выгорания топлива. В результате этого происходит новое изменение орбиты, которая теперь почти совпадает с круговой стационарной орбитой;
- окончательная коррекция с помощью системы дополнительных двигателей для перехода спутника в точку с заданной долготой и достижения требуемых значений периода и эксцентриситета орбиты (е=с/а, где с - расстояние от фокуса эллипса до центра, а - большая полуось эллипса; для круга е=0, так как с=0). Переход к нормальному функционированию спутника, если необходимо, переход от вращения спутника к его стабилизации и развертывание солнечных батарей;
- периодическая коррекция орбиты с целью удержания спутника в положении, необходимой для решения возложенных задач.
В качестве однокомпонентного ракетного топлива используется гидразин (высокая плотность, низкий молекулярный вес, способность создавать мощный удельный импульс, удобство хранения каталитичность, то есть, не нужен окислитель и диссоциирует без посторонних воздействий (термонагрев)).
Очень большой скоростью истечения частиц обладают ионные двигатели - приводит к увеличению (V). Частицы разгоняются электронными средствами до очень высоких скоростей. Но они пока в экспериментальной стадии.
Ракетой - носителем определяются важнейшие ограничения, накладываемые на m и допустимые габариты спутника, на выбор электрических и механических согласующих устройств. От нее зависят условия полета. Выбор носителей очень ограничен, и в действительности использование ракет - носителей, чьи характеристики идеально отвечали бы требованиям решаемых задач, часто оказывается невозможным. Наиболее крупные могут использоваться для одновременного запуска нескольких спутников. С помощью транспортного КЛА полезную нагрузку можно вывести только на низкую околоземную орбиту. Для вывода спутника на переходную эллиптическую орбиту потребуется дополнительная ступень. При проектировании спутника связи начинают с определения основных эксплуатационных характеристик, учитывающих требования заказчика и ограничения, налагаемые на диапазоны частот. Используется последовательное приближение.
В результате согласования пропускных способностей бортовых и земных станций определяется рабочая частота, число каналов и другие параметры. После этого определяется состав бортовой связной аппаратуры (полезная нагрузка) и требования к платформе спутника, выполнение которых позволит:
- разместить аппаратуру с минимальными потерями сигналов и с минимальным объемом монтажа;
- обеспечить монтаж всего оборудования спутника;
- установить необходимую телеметрическую и командную аппаратуру для контроля ретранслятора.
Размер зон приема сигналов ретранслятора на поверхности Земли влияет на число и габариты антенны. Из-за ограниченных размеров ракеты - носителя большие антенны складываются на старте и разворачиваются на орбите. Это приводит к ограничениям геометрического характера, которые учитываются при выборе конфигурации спутника. При испытании ортогонально - поляризованных сигналов жесткие ограничения на стабилизацию спутника.
Из-за сил, обусловленных возмущениями со стороны Солнца и Луны, приводящих к вращению орбиты со скоростью 1°/год, изменяется положение спутника. Коррекции, изменяющие долготу спутника, требуют незначительных затрат топлива; они необходимы для обеспечения расстояния между спутниками. Сохранение же постоянной широты спутника требует значительных затрат топлива (около 20 кг/год для спутника m = 900 кг)
Постоянство широты спутника необходимо, когда:
- недопустимы изменения зон обслуживания спутника;
- некоторые ЗС работают при малых углах, поэтому спутник может уйти за линию радиогоризонта;
- антенны ЗС для индивидуального приема СТВ имеют узкий луч и не имеют системы слежения.
Все ограничения, обусловленные требованиями нормального функционирования спутника связи и необходимостью вывода на стационарную орбиту. Кроме того, необходимо учитывать необходимость обеспечения удобного наземного обслуживания, соответствующих условий в процессе запуска и последовательность действий, приводящих к выводу спутника на орбиту. Механические характеристики спутника должны допускать перемещения и развороты, удары в процессе транспортировки.
Выбор носителя позволяет уточнить массу и габариты спутника, механические и электрические характеристики, влияющие на сопряжение спутника с носителем, такие как допустимое расположение центра масс, точность балансировки, требования к разъемам наземных целей, питанию и управлению, и уровням излучения.
Наиболее сильные механические и акустические вибрации КЛА испытывает в моменты старта, включения и отсечки двигателей, при отделении ступеней. На переходной орбите аппаратура связи выключена и должны быть предусмотрены меры, предохраняющие аппаратуру от переохлаждения. На переходной орбите спутники стабилизируются вращением. Если в рабочем состоянии на стационарной орбите спутник стабилизируется по-другому, то необходимо иметь две системы стабилизации. При смене режима меняются условия работы и требования, предъявляемые к системам питания, терморегулирования и управления.
На орбите на КЛА действуют различные неблагоприятные условия:
- космические излучения;
- неравномерный нагрев спутника и резкие изменения температуры, обусловленной взаимным расположением КЛА, Солнца и Земли.
Способы терморегулирования:
1) пассивные способы. Основаны на применении специальных покрытий с очень малым отношением as/Э (as/Э<0,06), где as - коэффициент поглощения солнечной энергии; Э - коэффициент излучения (характеризующий количество тепла, отводимое от спутника излучением при заданной температуре). Эти покрытия выполняют в виде специальных двухсторонних зеркал из кварцевых пластинок или тефлоновых листов с серебряным или алюминиевым покрытием.
2) активные - как дополнение к пассивным:
а) электрические нагреватели, включенные с помощью термостатов или по командам с Земли;
б) поворотные щитки и створки, которые прикрывают или открывают зоны радиатора с большим Э;
в) теплообменные трубки, отводящие тепло (к радиаторам) за счет испарения и конденсации рабочей жидкости.
Источники питания. Первоначально - гальванические элементы:
а) солнечные элементы. В основном, кремниевые. Их укрепляют на спутнике неподвижно или монтируют так, чтобы они были всегда направлены на максимум солнечного излучения. Преимущества:
- хорошо выработана технология изготовления (на Земле много кремния);
- высокая удельная мощность до 40 Вт/кг;
- высокая надежность;
- в течение 99% времени службы спутник освещен Солнцем.
Мощность панелей ограничена массой и габаритами.
Геостационарные спутники 90 раз в течение года попадают в тень Земли и максимальная продолжительность затемнения в сутки составляет 72 мин, поэтому используются аккумуляторы. Количество циклов заряда и разряда у систем аккумулирования энергии небольшое, и допустим глубокий разряд. Можно использовать до 50-70% емкости аккумулятора. Для спутников с низкими орбитами количество циклов заряд - разряд составляет тысячи в год, и емкость используется до 10-20%.
Масса аккумуляторов велика из-за высоких требований к их надежности и сроку службы. В основном используются никель - кадмиевые аккумуляторы. Удельная мощность их составляет до 12 Вт/кг (при разрядке на 70%). Разрабатываются Ni-H2 и Ag-H2 аккумуляторы. Их масса на 30-60% меньше.
б) ядерные источники. 1 кг U235 может дать 1 МВт*ч энергии при КПД преобразования 10%. Преимущества: не требуют ни ориентации на Солнце, ни аккумуляторов. Недостатки: необходима мощная экранировка для защиты от радиации аппаратуры; необходима очистка радиоактивных материалов от загрязнения (дорогостоящая очистка).
После вывода на орбиту положение спутника должно быть фиксировано для обеспечения ориентации антенны в нужном направлении.
На ИСЗ воздействует ряд возмущающихся сил:
- магнитное поле Земли;
- давление солнечного излучения;
- некомпенсируемые движения внутренних двигателей, зубчатых передач и рычагов;
- гравитационный градиент (разность сил земного притяжения, вызванная разностью расстояний от центра массы Земли до различных частей ИСЗ).
Все эти силы, кроме внутренних крутящих моментов, весьма малы, но оказывают постоянное воздействие. Внутренние же крутящие моменты, хотя и велики, но кратковременного действия.
Два основных способа стабилизации: стабилизация вращением и непосредственная стабилизация.
Простейший вид стабилизации положения спутника в пространстве - стабилизация за счет вращения со скоростью 30/100 об/мин. Такое "закручивание" превращает спутник в маховик, обладающий большим количеством движения. Вектор момента количества движения стремится сохранить свою ориентацию неизменной, что и обеспечивает стабилизацию положения спутника в пространстве. За счет вращения всего спутника или его части появляется гироскопическая жесткость, и стабилизация углового положения спутника, характеризуемого ориентацией оси вращения, может быть выполнена путем периодических коррекций с помощью двигателей малой тяги.
Спутники связи, стабилизируемые вращением можно выполнить в виде:
- простых роторов, имеющих вращающийся барабан и электронно-фазируемую антенную решетку для обеспечения постоянной ориентации луча относительно Земли;
- спутников двойного вращения. Также используется вращающийся барабан, но платформа спутника, обладающая относительно малой инерционностью, вращается в обратную сторону и за счет этого имеет почти нулевую угловую скоростью. Устанавливаемые на ней антенны постоянно ориентированы на Землю. Вращающиеся части ИСЗ и его части, раскручивающиеся в обратную сторону, связаны между собой при помощи агрегата, содержащего подшипниковый механизм и привод;
- спутников тройного вращения, являющихся модификацией спутников двойного вращения. Панели с солнечными батареями крепятся к третьей секции спутника, период вращения которой равен 24 часа. За счет этого обеспечивается постоянство ориентации панелей относительно Солнца.
Широкое распространение получили только спутники двойного вращения. Под трехосной, или непосредственной, стабилизацией спутников понимают управление угловым положением спутника относительно каждой из его осей. Такое управление выполняется либо в результате непосредственного измерения угловых перемещений и приложения моментов относительно всех трех осей, либо за счет применения приборов с кинетическим моментом, обеспечивающим спутнику гироскопическую жесткость одной, двух или трех осей. Для поддержания постоянной ориентации спутника в условиях возмущений эти приборы снабжаются чувствительными элементами и датчиками моментов.
Три типовые конструкции спутников:
- спутники, не обладающие гироскопическими свойствами. На них устанавливаются чувствительные элементы и гироскопы, с помощью которых определяется ориентация спутника. Для управления угловым положением используются двигатели малой тяги;
- спутники с жестко закрепленным или подвешенным в кардановом подвесе маховиком, вращающимся с заданной номинальной скоростью, который за счет гироскопических свойств стабилизирует одну ось спутника. Управление ориентацией спутника осуществляется путем изменения скорости вращения маховика и эпизодического использования устройств, предназначенных для создания момента (например, двигателей малой тяги и двигателей стабилизации на осях карданова подвеса) с целью поддержания постоянной ориентации оси собственного вращения маховика;
- спутники с тремя маховиками (по одному для каждой оси) для управления ориентацией путем изменения угловых скоростей каждого маховика таким образом, чтобы суммарный кинетический момент оставался нулевым.
Наиболее широкое распространение получили спутники с вращающимся маховиком. Далее именно они сравниваются со спутниками, стабилизируемыми двойным вращением.
Сравнительный анализ спутников со стабилизацией вращением и непосредственной стабилизацией.
1) Общая конфигурация.
Барабан спутников, стабилизируемых двойным вращением, покрывается солнечными элементами, а антенны устанавливаются на платформе с противовращением, так что излучение происходит в направлении, перпендикулярном оси вращения. Солнечные батареи спутников с непосредственной стабилизацией осуществляют слежение за Солнцем. Развертывание батарей производится на переходной орбите. Антенны обычно располагаются на основном корпусе спутника, и направление их излучения приблизительно параллельно главной оси спутника. Для спутников, стабилизируемых двойным вращением, габаритные ограничения, обусловленные используемым носителем, имеют особенно большое значение. Ими лимитируются максимальные размеры барабана, и, следовательно, достижимая мощность, а также возвышение антенн над основным корпусом спутника.
2) Генерирование энергии.
Как указывалось выше, энергетические возможности спутника с двойным вращением ограничены из-за малости поперечного сечения носителя. Даже при использовании ракеты - носителя с наибольшим диаметром корпуса максимальная генерируемая мощность после пребывания спутника на орбите в течение 7 лет будет около 1 кВт. Стабилизация вращением приводит к тому, что солнечная батарея эффективно освещается Солнцем только в течение 1/p всего времени. Следовательно, масса и стоимость батареи, выполненной в виде барабана, намного больше, чем у ориентируемой на Солнце плоской батареи, так как для получения одинаковой мощности в первом случае площадь, покрываемая солнечными элементами, должна быть приблизительно в 3 раза больше. С другой стороны, батарея в виде барабана проще и не требует специального механизма для своей установки. При стабилизации спутника с помощью тройного вращения проблемы со снижением мощности уменьшаются. Но возникают механическая и конструктивная сложности, чрезмерные несбалансированные солнечные моменты и трудности, возникающие при передачи энергии. Поэтому, когда требуется большая мощность, используется непосредственная стабилизация.
3) Управление стабилизацией.
Системы управления стабилизацией, использующие двойное вращение, проще систем, осуществляющих непосредственную стабилизацию спутника. Непосредственная стабилизация спутников, которые в процессе вывода на орбиту стабилизируются вращением, приводит к необходимости создания двух бортовых систем стабилизации. Это приводит к увеличению массы и стоимости спутника и к ужесточению требований, предъявляемых к показателям надежности. С другой стороны, некоторые характерные особенности системы стабилизации с двойным вращением не позволяет их использовать в тех случаях, когда требуется высокая точность. К недостаткам этих систем можно отнести нутационные движения из-за остаточного разбаланса вращающейся секции, пульсации момента, обеспечивающего стабилизацию платформы спутника, биения из-за износа подшипников, а также тепловые и механические деформации формы, на которой закреплены антенны.
4) Терморегулирование.
Параметры систем терморегулирования спутников с двойным вращением, как и мощность систем, генерирующих энергию, существенно зависят от габаритов. При работе аппаратуры происходит значительное рассеяние энергии. Отвести ее за счет излучения в спутниках с двойным вращением можно только через его северную наружную грань. Но этому препятствуют антенны, частично перекрывающие ее. В спутниках с непосредственной стабилизацией можно предусмотреть две относительно большие и не затеняемые наружные грани, обращенные на север и на юг, тем самым упростив терморегулирование на стационарной орбите. Кроме того, в спутниках с двойным вращением защиты от переохлаждения требует сам механизм, обеспечивающий стабилизацию платформы. Это существенно усложняет задачу терморегулирования. В связи с тем, что размеры панелей с солнечными элементами и антеннами становятся очень большими (линейный размер панели и диаметр антенны до 10 м), усложняется проблема уравновешивания возмущающих моментов, вызванных воздействием солнечного излучения, и становятся необходимой полная стабилизация по трем осям.
Сравнение двухосной и трехосной систем стабилизации.
Преимущества двухосной перед трехосной.
а) Более простая система определения пространственного положения. Сканирование обеспечивается маховиком, наличие вращающего момента устраняет необходимость в прямом измерении угла рыскания.
б) Минимальное число двигателей малой тяги. Для контроля расхода топлива в силовой установке (т.е. для подачи ракетного топлива к соплам) используется центробежная сила маховика, при этом требуется минимальное количество двигателей малой тяги; одна и та же относительно высокая величина тяги может быть использована как для стабилизации пространственного положения спутника, так и для сохранения его положения.
в) "Жесткость" положения спутника. Вращающий момент придает положению спутника жесткость, которая уменьшает влияние моментов, возникающих внутри КЛА, а также предотвращает быстрое накопление отклонений от заданного пространственного положения в результате воздействия сторонних моментов. Благодаря этому, для необходимой компенсации по команде с Земли имеется достаточно времени. "Жесткость" положения может использоваться также для контроля пространственного положения во время включения двигателя в апогее.
Недостатки.
а) Степень защищенности. При стабилизации с двойным вращением единичный катастрофический отказ в системе подшипников может привести к полной потери связи, т.е. спутник не сможет выполнять свои функции. Кроме того, потери мощности при передачи радиочастотных сигналов растут с увеличением частоты, поэтому приходится подключать к обеим сторонам механизма противовращения резервные кодирующие - декодирующие устройства.
б) Ограничение диаметра спутника. Вращающееся тело, которое нужно стабилизировать относительно заданных осей, должно иметь более устойчивую форму, чем, например, карандаш. Если диаметр спутника ограничивается обтекателем ракеты - носителя, то это ограничение носит весьма серьезный характер.
в) Нутация (коническое движение). Для компенсации нутации нужно механически демпфировать платформу противовращения. Нутация является результатом неблагоприятного соотношения центробежного и поперечного моментов инерции, а также результатом потерь энергии из-за плескания топлива в баках вращающейся части ИСЗ.
г) Мощность. Если солнечные элементы монтируются на вращающемся барабане, то для получения заданной мощности требуется большее их количество, что приводит к увеличению m и стоимости корабля. С этим приходится считаться, когда растет потребность в каналах связи и в увеличении мощности излучения каждой антенны, а также при переходе на повышенные частоты (т.к. КПД передатчиков с повышением частоты падает) и при широком использовании бортовой обработки данных и автоматизации.
Выводы. Надежность при стабилизации по трем осям уменьшается, так как усложняется система определения пространственного положения, но последняя может быть резервирована. Надежность стабилизации с двойным вращением снижается из-за системы противовращения, резервирование которой представляет определенные трудности. Оба метода стабилизации сравнимы по стоимости.
На переходной орбите спутники стабилизируются вращением. Основные задачи:
- демпфирование нутационных колебаний, вызванных отделением носителя, до уровня, определяемого допустимыми ошибками ориентации;
- демпфирование нутационных колебаний собственно устойчивого спутника, т.е. спутника, ось собственного вращения которого совпадает с осью максимального момента инерции, осуществляется просто. Для этого используется эффективная и легкая колебательная система, например, маятник или шар в изогнутой трубке. Резонансная частота и коэффициент демпфирования системы выбираются в соответствии с частотой нутационных колебаний спутника, которые зависят от его моментов инерции. Когда спутник неустойчив, демпфирование выполняется с помощью активного контура управления, содержащего датчик, чувствительный к нутационным колебаниям (скоростной гироскоп), и исполнительный механизм (например, двигатели малой тяги). Нутационные колебания спутника с двойным вращением могут быть задемпфированы даже когда неустойчив один лишь вращающийся барабан; при этом скорость собственного вращения платформы должна быть низкой или равной нулю, а основное рассеяние энергии должно происходить на платформе. Демпфер устанавливается на платформе с противовращением;
- определение начального и конечного пространственного положения. Бортовые датчики измеряют углы, характеризующие ориентацию оси собственного вращения спутника относительно Солнца и Земли, а также угол, образованный лучами спутник - Солнце и спутник - Земля. Эти величины представляют собой углы соответствующих треугольников и могут быть использованы при вычислении параметров ориентации спутника относительно инерциальной системы координат;
- ориентация оси собственного вращения. Когда спутник находится на переходной орбите и возможна связь с земной станцией, его ось собственного вращения требуется повернуть на угол около 130°. Этот разворот выполняется в результате прецессионного движения, обусловленного работой двигателей малой тяги. Минимальная тяга порядка нескольких H, а сам маневр длится около 1,5 ч или несколько часов;
- запуск дополнительного двигателя в апогее. Запуск его производится при достижении спутником заданной точки переходной орбиты вблизи ее апогея. При этом ось собственного вращения спутника должна быть правильно ориентирована (с точностью, меньше 1°). Так как масса топлива этого двигателя примерно равна половине полной массы спутника, влияние ошибок ориентации, отсчета времени и суммарной тяги оказывается весьма существенным.
Ориентация спутника относительно Земли. После вывода спутника на стационарную орбиту и перед выполнением коррекции, в результате которой достигается требуемая долгота спутника, нужно изменить его ориентацию относительно Земли. Когда используется спутник, стабилизируемый вращением, задача решается просто, т.к. заключается в развороте спутника, при котором ось собственного вращения выходит из плоскости, параллельной экватору, и устанавливается в направлении, перпендикулярном этой плоскости. При непосредственной стабилизации требуется вращение спутника, затем раскрутить маховики, развернуть солнечные батареи и только после этого начать разворот спутника (сложно).
Функции, выполняемые спутником с двойным вращением на стационарной орбите.
Требования, предъявляемые к системе стабилизации на стационарной орбите, отличаются от требований на переходной орбите, поскольку задача определения угловой ориентации оси собственного вращения решается проще, т.к. направление на Землю можно непрерывно определять с помощью остронаправленного датчика ИК - излучения. Антенна, вращающаяся в обратную сторону, стабилизируется с целью постоянного покрытия заданной зоны. Корректирующие угловые развороты спутника вокруг двух других осей выполняются одним осевым двигателем малой тяги, который устанавливается параллельно оси собственного вращения на некотором расстоянии от нее. Если двигатель работает в импульсном режиме, то он включается в одном и том же секторе цикла вращения. Соответствующим образом, выбирая сектор, можно выполнить разворот вокруг любой заданной оси, перпендикулярной оси собственного вращения.
Если двигатель работает непрерывно, то появляющийся в результате его работы вектор тяги, приложенный к центру масс и расположенный в плоскости меридиана, можно использовать для маневра с целью коррекции орбиты. Для изменения долготы спутника, используется второй двигатель малой тяги, который устанавливается перпендикулярно оси собственного вращения спутника. Для выполнения требуемого маневра поперечный двигатель включается в соответствующем секторе угла вращения. Третий, тангенциальный двигатель малой тяги, установленный на периферии спутника, используется для управления скоростью собственного вращения. Спутник с двойным вращением имеет высокую гироскопическую жесткость, но требует частой периодической коррекции ориентации. Обычно центр давления солнечного излучения и центр масс спутника, из-за несимметрии конструкции расположены далеко друг от друга, а это приводит к появлению возмущающих моментов.
При использовании малых антенн за счет тщательной компоновки аппаратуры внутри основного барабана можно уменьшить расстояние между центром масс и центром давления до 5 см, но при использовании больших антенн оно достигает 60 см. В этом случае, солнечное излучение дает ощутимый возмущающий момент. Поэтому должна производиться периодическая коррекция, ориентация оси собственного вращения. В зависимости от особенностей спутника, период коррекций составляет от 3 до 6 дней. Требования к уровню тяги невелики, так как кинетический момент системы велик.
Функции, выполняемые спутником с непосредственной стабилизацией на стационарной орбите.
Любое тело с нулевым кинетическим моментом можно стабилизировать относительно трех осей. Для стабилизации негироскопической системы нужен датчик угла рыскания. При измерении угла рыскания, астронавигационные датчики перекрыты солнечными батареями, а солнечные датчики не удается использовать, так как на стационарной орбите, солнце коллинеарно с Землей. Для измерения угла рыскания используются гироскопы, но из-за роста ошибки со временем необходимо предусмотреть периодическую коррекцию. Измерить угол рыскания можно при совместном использовании гироскопа и солнечного датчика. Но это может оказаться сложнее, чем установка на спутнике вращающегося маховика. Основным элементом такой системы является маховик, параметры которого (масса и скорость вращения) таковы, что его кинетический момент позволяет избежать частого включения двигателей малой тяги, несмотря на наличие возмущающих моментов. При этом масса маховика должна быть небольшой. Возмущающие моменты стараются минимизировать за счет уменьшения расстояния от центра давления до центра масс спутника.
В отличие от спутников с двойным вращением, ориентацию спутника с непосредственной стабилизацией не удается определять датчиками, используемыми на переходной орбите. Для этой цели используются другие датчики (статические ИК- датчики, ориентированные на Землю), с помощью которых получают информацию об углах тангажа и крена. Для коррекции долготы спутника используют двигатели, векторы тяги которых проходят через центр масс перпендикулярно плоскости меридиана. Аналогичным образом с помощью одного двигателя малой тяги, установленного на северной или южной грани спутника, можно корректировать широту; но обычно эти места заняты сервоприводами солнечных батарей. Следовательно, требуется два двигателя, расположенных симметрично относительно центра масс и работающих синхронно, векторы тяги которых должны лежать в плоскости меридиана.
Под невозмущенным движением небесного тела понимается движение в центральном поле тяготения, создаваемом сферически симметричным однородным телом. Как известно, подобное тело притягивает другое тело таким образом, словно вся его масса сосредоточена в центре.
Законы невозмущенного движения тел изучает небесная механика. Основным ее содержанием является изучение движения N материальных точек, притягивающих друг друга по закону Ньютона. В настоящее время задача полностью решена только для N=2. При N=3 математические трудности настолько велики, что аналитические решения получены лишь для частных случаев движения. Задача двух тел заключается в изучении движения двух материальных точек под действием их взаимного притяжения. Оно позволяет выявить основные закономерности невозмущенного движения, так как благодаря модели центрального поля тяготения, всегда можно притягивающиеся массы считать точечными, изолированными от гравитационного воздействия других тел (по крайней мере, в некоторой области).
Движение большого и малого тел взаимно связаны вследствие того, что сила тяготения одновременно действует как на одно, так и на другое небесное тело. Это движение изучается в небесной механике как общая задача двух тел.
Пусть мы имеем два тела: большое - М и малое - m (рисунок 3.1).
Рисунок 3.1 – Взаимное движение двух тел
Будем предполагать, что тело M неподвижно, тогда уравнение движения тела m по закону Ньютона будет иметь вид
![]()
или
![]()
где f - универсальная гравитационная постоянная.
Если неподвижно тело m, то уравнение движения тела M запишется в виде
![]()
или
![]()
Скорость и ускорение относительного движения тел M и m выразятся соотношениями
![]()
![]()
или
![]()
Окончательно уравнение движения примет вид
![]()
где f · (M + m) - величина, характеризующая общее поле тяготения тел M и m.
Практическая масса малого тела много меньше массы большого тела
m << M .
Применительно к КА это условие тем более выполняется, так что притяжением большого тела малым можно пренебречь. Подобная задача получила название ограниченной задачи двух тел.
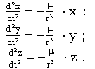
При решении этой задачи начало системы координат, оси которой не вращаются в инерциальном пространстве, совмещают с центром большого небесного тела (например, Земли), полагая, что оно движется с постоянной скоростью. Следовательно, такая система координат будет инерциальной и векторное дифференциальное уравнение движения КА примет вид
|
|
где m - гравитационный параметр притягивающего центра (например, Земли).
Это векторное уравнение в инерциальной системе координат эквивалентно системе 3-х дифференциальных уравнений второго порядка
|
|
Благодаря использованию модели центрального поля тяготения (т.е. тому обстоятельству, что все силы, кроме силы тяготения центрального поля, можно считать пренебрежимо малыми) система (3.2) оказывается интегрируемой. Другими словами, она может быть решена, и в результате ее решения получаются достаточно простые соотношения, которые и описывают основные закономерности движения. Общее решение этой системы может быть представлено совокупностью шести независимых первых интегралов, каждый из которых представляет собой аналитическое выражение и содержит одну произвольную постоянную интегрирования. Решить задачу о невозмущенном движении - значит найти 6 первых интегралов, или 6 независимых постоянных интегрирования.
Это можно сделать, воспользовавшись аппаратом дифференциальных уравнений. Мы здесь получим первые интегралы невозмущенного движения очень простым путем, воспользовавшись элементами векторной алгебры.
Умножим исходное векторное уравнение (3.1) скалярно на ![]()
![]()
и преобразуем его. Получим
![]()
Но
![]()
поэтому последнее выражение преобразуется к виду
![]()
Интегрируя это выражение, получим
![]()
где h - постоянная интегрирования.
Это уравнение есть первый интеграл системы (3.2), оно может быть представлено в виде
|
|
или T + U = h,
где T - кинетическая энергия; U - потенциальная энергия; h - константа.
Таким образом, первый интеграл (3.3) выражает закон сохранения энергии, поэтому он называется интегралом энергии, а постоянная интегрирования h - постоянной энергий. Из интеграла энергий можно сделать некоторые заключения о характере невозмущенного движения:
а) из интеграла энергий, записанного в виде
![]()
следует, что при увеличении расстояния r от притягивающего центра, скорость КА уменьшается, и наоборот.
б) Скорость КА не может быть мнимой, поэтому
Значит, если h >
0, то радиус-вектор КА может возрастать неограниченно, если же h<0, то КА в
своем движении не выходит за пределы сферы с радиусом r=2·
/h. Эта сфера называется
поверхностью нулевой скорости (рисунок 3.2).
Рисунок 3.2 – Поверхность нулевой скорости
в) Если r![]()
то V2
h, т.е. скорость КА при удалении от притягивающего
центра на бесконечное расстояние будет составлять
![]()
Эту скорость называют скоростью на бесконечности.
Второй интеграл системы получается посредством аналогичных преобразований.
Умножим исходное векторное уравнение (3.1) на r
![]()
Поскольку по свойству векторного произведения rxr = 0, следовательно,
![]()
Учитывая, что
![]()
и
![]()
получим
![]()
После интегрирования будем иметь
![]()
где C- постоянная интегрирования.
Это уравнение - интеграл системы (3.2), называемый интегралом площадей, C-постоянный вектор с компонентами C1, C2, C3. Постоянная C называется постоянной площадей. Для выяснения характера движения умножим это уравнение скалярно на r
![]()
Ввиду того, что
r
(r x v)=0, r
C=0
или в проекциях на оси инерциальной системы координат
C1
X + C2
Y + C3
Z = 0 .
Это уравнение плоскости, проходящей через начало координат. Следовательно, невозмущенное движение КА происходит в неизменной плоскости, причем вектор C все время ей перпендикулярен. Постоянная площадей C определяет положение плоскости орбиты в пространстве. Поскольку это справедливо для любого момента времени, в том числе и для начального, плоскость орбиты будет проходить также через вектор начальной скорости КА. Таким образом, согласно закону площадей, невозмущенное движение КА происходит в плоскости, проходящей через вектор начальной скорости и центр тяготения (рисунок 3.3).
Рисунок 3.3 – Интеграл площадей
Произведение (r x v) есть не что иное, как кинетический момент КА, поэтому интеграл площадей выражает закон сохранения кинетического момента
![]()
Выясним геометрический смысл интеграла площадей (см. рисунок 3.4).
Рисунок 3.4 – Геометрический смысл интеграла площадей
Здесь O - центр притяжения; точки А и В изображают
положение КА в моменты времени t и t+
t; V - скорость КА; ds - площадь элементарного треугольника
ОАВ
![]()
или
![]()
Произведение (r x V) есть постоянная площадей C, следовательно, ее модуль равен удвоенной площади элементарного треугольника, замененного радиусом-вектором.
Величина d
/dt называется секториальной скоростью. В
результате интегрирования получим
![]()
т.е. секториальная скорость КА при движении его по орбите есть величина постоянная.
Приведем еще один первый интеграл системы дифференциальных уравнений задачи двух тел - интеграл Лапласа
|
|
где f - постоянный вектор (постоянная интегрирования), имеющий компоненты f1, f2, f3. Определим его направление. Для этого умножим выражение (3.4) скалярно на C
![]()
Оба слагаемых в правой части уравнения равны нулю, так
как представляют скалярные произведения взаимно перпендикулярных векторов.
Значит, C
f=0, или
в координатной форме
|
c1 f1 + c2 f2 + c3 f3 = 0. |
Следовательно, вектор f перпендикулярен вектору C, т.е. лежит в плоскости орбиты. Таким образом, в результате решения системы дифференциальных уравнений (3.2), описывающих невозмущенное движение, получено 7 произвольных постоянных : h, c1, c2, c3, f1, f2, f3. Они связаны между собой двумя соотношениями: соотношением (3.5) и соотношением
|
f2 = |
т.е. из них только пять независимых. Эти пять независимых постоянных определяют динамические и кинематические характеристики движения. Недостающая шестая произвольная постоянная может быть получена прямым интегрированием. Например, из интегралов энергий, площадей и Лапласа, учитывая соотношения (3.5) и (3.6), можем выразить любые пять из величин X, Y, Z, через шестую (например, X) и произвольные постоянные
Y =
1( X, h, c1, c2, c3, f1, f2, f3 );
Z =
2 ( X, h, c1, c2, c3, f1, f2, f3 );
=
3 ( X, h, c1, c2, c3, f1, f2, f3 );
=
4 ( X, h, c1, c2, c3, f1, f2, f3 );
=
5 ( X, h, c1, c2, c3, f1, f2, f3 ).
Так как
=
3( X, h, c1, c2, c3, f1, f2, f3 ), можем
проинтегрировать это уравнение. Получим
t = F(X) + g,
где g - постоянная интегрирования, она связывает параметры движения со временем.
Теперь задача решена полностью. Мы имеем выражения для координат и скоростей движущейся точки через время и произвольные постоянные интегрирования
X=F1 (t, h, g, c1, c2, c3 ...);
Y=F2 (t, h, g, c1, c2, c3 ...);
Z=F3 (t, h, g, c1, c2, c3 ...);
=F4 (t, h, g, c1, c2, c3 ...);
=F5 (t, h, g, c1, c2, c3 ...);
=F6 (t, h, g, c1, c2, c3 ...).
Это и есть общее решение системы (3.2). Произвольные постоянные определяются через начальные условия
![]()
c=r0 x v0 ,
или в координатной форме

и т.д.
Эта задача может быть решена и другим, более простым и наглядным путем, который и рассмотрим ниже.
Выведем уравнение траектории движения КА, для чего
введем полярную систему координат r,
. Положение небесного тела будем определять радиусом-вектором
r (расстоянием от КА до центра притяжения) и полярным углом u между
радиусом-вектором r и некоторым фиксированным направлением в плоскости орбиты,
за которое примем вектор Лапласа (рисунок 3.5).
Рисунок 3.5 – Полярная система координат
Умножим выражение для интеграла Лапласа (3.4) скалярно на r
![]()
Преобразовывая в соответствии с правилами умножения векторов, получим
f
r
cos(u)=-m
r +c2 .
Выразив координату r в зависимости от координаты
и констант, получим
![]()
Обозначим
![]()
Получим уравнение орбиты КА в полярных координатах (r,
):
|
|
Это есть уравнение конического сечения, т.е. кривой второго порядка, образующейся от пересечения поверхностей прямого кругового конуса с плоскостью, в полярных координатах. Вид конического сечения зависит от угла наклона секущей плоскости к оси конуса. Это может быть окружность, эллипс, парабола, гипербола (рисунок 3.6). Полученное уравнение орбиты выражает собой первый закон Кеплера: орбита тела, движущегося в центральном поле тяготения, есть коническое сечение, в одном из фокусов которого находится центральное тело. Параметры e и p - это эксцентриситет и фокальный параметр орбиты. Они определяют форму и размеры орбиты:
при e = 0 - окружность;
0 < e < 1 - эллипс;
e = 1 - парабола;
e > 1 - гипербола.
Рисунок 3.6 – Конические сечения
Угловая координата
может быть связана со временем движения.
Рассмотрим движение КА по эллиптической орбите (рисунок 3.7). Наибольший диаметр эллипса АП называется большой осью или линией апсид, а вершины А и П - апсидами. Хорда СД, перпендикулярная большой оси и проходящая через центр эллипса, называется малой осью. Величина большой оси АП = 2a, малой - СД = 2b. В математических выкладках пользуются величинами большой и малой полуоси а и b. Точки F1 и F2, лежащие на линии апсид, называются фокусами. Они обладают тем свойством, что сумма расстояний от любой точки эллипса до фокусов есть величина постоянная, равная большой оси
r1 + r2 = const = 2a .
Рисунок 3.7 – Элементы эллиптической орбиты
Согласно первому закону Кеплера, только один фокус эллипса имеет физическое значение. Пусть это будет F1. Точка П, ближайшая к этому фокусу, называется перицентром орбиты, а точка А, наиболее удаленная, апоцентром. Если центральным телом является Земля, то апсиды называются перигеем и апогеем.
Расстояние F1F2=2c называется межфокусным расстоянием, причем
![]()
следовательно,
![]()
Половина хорды P1, P2, перпендикулярной к линии апсид и проходящей через фокус, называется фокальным параметром эллипса
P1P2 = 2p .
Фокальный параметр связан с большой полуосью соотношением
p = a
(1- e2) .
Угол между направлением в перицентр и радиусом-
вектором КА
называется
истинной аномалией, следовательно, вектор Лапласа направлен в перицентр орбиты.
При полете по эллиптической орбите расстояние КА от центра тяготения изменяется
от минимального значения в перицентре орбиты (
= 0°)
rP = a
(1 - e)
до максимального значения в апоцентре (
=180°)
rа = a
(1 + e).
Угловая скорость движения КА по орбите не является постоянной величиной. Она определяется известным соотношением
![]()
где
- угол наклона вектора орбитальной скорости к
местному горизонту, или
![]()
и изменяется от максимального значения в перигее (
=0)
![]()
до минимального значения в апогее (
= 180°)
![]()
В этих соотношениях
о - средняя угловая скорость движения КА по
орбите
![]()
Весьма важной характеристикой эллипса является большая полуось. Величина большой полуоси определяет энергию орбиты. Для доказательства этого положения воспользуемся соотношением (3.6)
f2 = m2 +c2 h
и выражениями параметров эллипса через постоянные интегрирования
![]()
Подставляя эти выражения в (3.6), получим
![]()
Но P = a
(1 - e2), следовательно,
![]()
Oтсюда
|
|
Таким образом, чем больше величина большой полуоси, тем выше энергия орбиты. На рисунке 3.2 изображены орбиты равных энергий, так как величины больших полуосей у них одинаковы.
Подставляя выражение (3.8) в интеграл энергии, получим соотношение
|
|
позволяющее определить скорость движения КА в любой точке орбиты. Следовательно, скорость КА изменяется от максимального значения в перицентре
![]()
до минимального значения в апоцентре
![]()
3.7 Круговая, параболическая и гиперболическая орбиты
Частным случаем эллиптической орбиты является круговая орбита. Круговая орбита не может быть реализована в действительности, так как она возможна только в центральном поле сил. Практически орбиты, близкие к круговым, могут быть созданы вокруг таких небесных тел, как Земля, Марс, Венера, Луна. Их называют околокруговыми (квазикруговыми) орбитами. При решении ряда задач к ним применима теория круговых орбит. Круговую орбиту характеризует эксцентриситет e=0 и фокальный параметр p=a=r. Спутник, движущийся по круговой орбите, имеет скорость, равную
![]()
которая называется первой космической, или круговой скоростью. Угол между вектором скорости и радиусом-вектором КА равен 90°, т.е. скорость КА направлена по местному горизонту.
При e=1 орбита будет параболической. Ее можно
рассматривать как частный случай эллиптической орбиты, у которой a=
. Параболическая орбита,
как и круговая, относится к специальному виду орбит, которые не могут быть осуществлены
точно (рисунок 3.8).
Рисунок 3.8 – Параболическая орбита
Аппарат с параболической скоростью по отношению к центру притяжения обладает достаточной энергией для того, чтобы полностью освободиться от поля тяготения. Начальная скорость при движении по параболической орбите, как следует из выражения (3.9), должна равняться
![]()
которую называют параболической скоростью, скоростью освобождения или второй космической скоростью.
Гиперболическая орбита встречается всегда, когда КА покидает поле тяготения одного тела и переходит в поле тяготения другого. Осуществляется она при e>1 (рисунок 3.9).
Рисунок 3.9 – Гиперболическая орбита
Для реализации гиперболической орбиты необходимо выполнение условия V0 > V2.
С энергетической точки зрения критерий для определения вида орбиты можно вывести, сравнивая кинетическую энергию на расстоянии r с кинетической энергией, необходимой для преодоления поля тяготения
![]()
Значение постоянной энергий h для :
окружности ![]()
эллипса h < 0 ;
параболы h = 0 ;
гиперболы h > 0 .
Скорости на орбитах для :
окружности ![]()
эллипса ![]()
параболы ![]()
гиперболы
.
Энергия КА, движущегося по круговой и эллиптической орбитам, недостаточна для преодоления поля тяготения (избыток энергии отрицателен). На параболической орбите избыток энергии равен нулю, т.е. КА обладает энергией, достаточной для того, чтобы полностью освободиться от поля тяготения. На границу сферы действия (в бесконечность) КА прибудет с нулевой скоростью. На гиперболической орбите КА обладает большей кинетической энергией, чем это необходимо для преодоления поля тяготения. Поэтому после "отрыва" от центрального поля он сохраняет некоторую конечную скорость, называемую избыточной скоростью или скоростью на бесконечности.
Избыток энергии h![]()
представляет разницу между энергией параболической
и гиперболической орбит и записывается в виде
![]()
Величина h имеет важное значение в теории межпланетных полетов.
3.8 Элементы геоцентрических орбит
Для того чтобы полностью определить движение КА по орбите, необходимо знать положение его орбиты в пространстве. Для изучения движения КА в поле земного тяготения обычно используется экваториальная геоцентрическая система координат XYZ (см. рисунок 3.10).
Линия пересечения плоскости орбиты с плоскостью экватора (ВН) носит название линии узлов. Точка В, в которой КА переходит из южной полусферы в северную, называется восходящим узлом орбиты, а противоположная точка - нисходящим.
Положение плоскости орбиты в пространстве определяется
двумя углами: долготой восходящего узла
и наклонением плоскости орбиты к плоскости экватора
i.
Рисунок 3.10 – Геоцентрическая экваториальная система координат
Долгота восходящего узла
- это угол, отсчитываемый в плоскости экватора
против часовой стрелки, если смотреть с северного полюса от направления в точку
весеннего равноденствия до направления в восходящий узел орбиты. Этот угол
может изменяться в пределах от 0° до 360°. Наклонение орбиты i - это угол между
плоскостью экватора и плоскостью орбиты, отсчитываемый против часовой стрелки,
если смотреть с восходящего узла. Он изменяется в пределах от 0° до 180°. При i
= 0° и i = 180° орбита называется экваториальной, а при i = 90° - полярной.
Положение орбиты в плоскости определяется аргументом
перигея
.
Аргумент перигея - это угол, отсчитываемый в плоскости орбиты по направлению
движения от направления в восходящий узел до направления в перигей. Аргумент
перигея изменяется в пределах от 0° до 360°.
Форму и размеры орбиты, как было показано выше,
определяют элементы a и e или p и е. Положение КА на орбите определяется
истинной аномалией
. Часто для определения положения КА на орбите
вместо истинной аномалии используется аргумент широты
u =
+
.
Tочки орбиты при u=90° и u=270° соответственно носят
названия точек верхнего и нижнего вертекса. Из указанных шести параметров:
, i,
, a, e,
- пять определяют орбиту,
шестой u определяет положение КА на орбите. Эти пять параметров полностью определяют
орбитальное движение. Они называются параметрами или элементами орбиты. Параметры
орбиты могут быть получены через произвольные постоянные интегрирования
![]()
![]()
![]()
![]()
![]()
Таким образом, постоянная интегрирования C определяет положение плоскости орбиты в пространстве и размеры орбиты (через фокальный параметр р); вектор Лапласа f определяет положение орбиты в ее плоскости (вектор Лапласа направлен в перигей) и форму орбиты через ее эксцентриситет e (рисунок 3.11).
Рисунок 3.11 – Положение вектора Лапласа в пространстве
Зная параметры орбиты, можно определить координаты КА
и составляющие вектора скорости в произвольной точке орбиты. Связь между угловыми
характеристиками движения (
) и временем t определяется уравнением Кеплера.
Уравнение Кеплера имеет вид :
|
E-e sin( E )= M . |
Для выяснения физического смысла параметров E и M рассмотрим рисунок 3.12.
Рисунок 3.12 – Физический смысл параметров E и M
Положение КА на эллиптической орбите определяется
радиусом-вектором r и истинной аномалией
(точка F'). Проведем из центра эллипса Оэ
окружность радиуса, равного большой полуоси. Через точку F проведем прямую
перпендикулярно большой оси. Она пересечется с окружностью в точке F'. Угол
между большой осью эллипса (направлением в перигей) и радиусом OF' называется
эксцентрической аномалией и обозначается E.
Истинная аномалия
, как это следует из геометрических соображений,
связана с эксцентрической аномалией E' соотношением
|
|
Параметр M представляет собой угловое расстояние,
которое прошел бы КА за время
t =t1-t0, если бы он двигался по орбите
равномерно со средней угловой скоростью
0. Следовательно,
M =
0(t1 -t0).
Момент t0 может соответствовать моменту прохождения КА через перигей. Если за начало отсчета принять перигей орбиты (t0 = tn= 0), то
M =
0 t1.
Тогда в перигее будет выполняться условие
= E = M = 0,
а в апогее
= Е = М = 180° .
Угловая характеристика М называется средней аномалией, или средним движением,
при 0° <
< 180° M < E <
,
а при 180° <
< 360°
< Е < М.
Таким образом, время движения t связано с угловым
расстоянием, пройденным КА от перигея
, через среднее движение M и эксцентрическую аномалию
E
E - e
sin(E)=
0 t .
Это уравнение является трансцедентным, т.е. не имеющим аналитического решения и решается одним из методов приближенного решения трансцедентных уравнений (например, методом последовательных приближений).
Динамику невозмущенного движения в центральном поле тяготения описывают три закона Кеплера. Они были сформулированы Кеплером и послужили основой для обобщения, сделанного Ньютоном в виде закона всемирного тяготения. Поэтому невозмущенное движение небесных тел называется также кеплеровым. Законы Кеплера формулируются следующим образом.
Орбита небесного тела, движущегося в центральном поле тяготения, есть коническое сечение, в одном из фокусов которого находится центральное тело. Математическим выражением первого закона является уравнение орбиты (3.7).
Радиус-вектор небесного тела за равные промежутки времени описывает равные площади. Второй закон математически выражается интегралом площадей (см. рисунок 3.13) при t1= t2 S1= S2.
Рисунок 3.13 – Второй закон Кеплера
Квадраты периодов обращения небесных тел относятся как кубы их больших полуосей

В предыдущем разделе рассматривалось невозмущенное (кеплеровское) движение КА, т.е. движение в идеализированных условиях - только в поле центральной силы притяжения.
В действительности на движение ЦМ КА оказывают влияние и другие силы, отличные от центральной силы притяжения. Эти силы обусловлены:
- отличием реального гравитационного поля Земли от центрального;
- наличием атмосферы Земли;
- притяжением Луны, Солнца и планет солнечной системы;
- давлением световых лучей и рядом других причин.
Эти силы называются возмущающими и вызывают отклонения движения от кеплеровского. Движение ЦМ КА с учетом действия возмущающих сил называется возмущенным движением. Как правило, эти силы малы по сравнению с центральной силой притяжения и это дает возможность предположить, что возмущенное движение отличается от невозмущенного движения лишь в количественном отношении, основные же закономерности движения остаются в силе. Очевидно, что в каждом случае решения баллистических задач необходимо оценивать отклонения движения от кеплеровского.
Для прогнозирования движения ЦМ КА, под которым понимают расчет положения и компонентов вектора скорости на наперед заданные моменты времени, необходимо правильно выбрать математическую модель.
На основании анализа влияния на движение ЦМ КА каждого возмущающего фактора и конкретной целевой задачи выбирается система учитываемых сил и соответствующая физическая абстракция реальных тел, создающих возмущающие силы, которые в совокупности называются расчетными условиями. Расчетные условия предопределяют математическую модель возмущенного движения, а, следовательно, и расчетный вид траектории.
Для программного выбора расчетных условий необходимо проанализировать влияние различных возмущающих сил в зависимости от параметров орбит и выявить основные закономерности движения. Данная задача решается с помощью методов исследования возмущенного движения КА.
4.1 Основные методы исследования возмущенного движения КА
При рассмотрении методов исследования возмущенного движения необходимо рассматривать два аспекта: форму представления модели и метод численной реализации модели движения.
От выбора определенной формы представления модели движения и численного метода еe реализации существенно зависит точность, наглядность и быстродействие расчета возмущенного движения.
Модель движения КА может быть представлена в любой СК.
Модель возмущенного движения в соответствии со вторым законом Ньютона имеет вид
![]()
Эту модель в проекциях на оси АСК можно записать следующим образом
|
|
где - javbх, javby, javbz проекции возмущающего ускорения на оси абсолютной СК. В общем случае действия возмущающих ускорений система (4.1) с математической точки зрения представляет собой систему трех дифференциальных нелинейных уравнений второго порядка, которая, как правило, аналитического решения не имеет.
Обозначив
|
|
систему уравнений (4.1) можно записать
|
|
Для интегрирования этой системы необходимо на момент времени задать начальные условия (НУ) движения
X(t0)=X0, Y(t0)=Y0, Z(t0)=Z0,
Vx(t0)=Vx0, Vy(t0)=Vy0, Vz(t0)=Vz0.
Интегрирование системы (4.3) осуществляется либо численными, либо приближенно-аналитическими, либо численно-аналитическими методами. Выбор того или иного метода решения системы (4.3) определяется требуемой точностью и видом функциональной зависимости правых частей.
Подобный алгоритм расчета возмущенного движения КА при соответствующем выборе системы возмущающих сил и шага интегрирования довольно точен и широко применяется на практике. Однако он весьма неудобен для качественного анализа влияния различных возмущающих сил. Это связано, во-первых, со сложностью получения конечных аналитических расчетных формул, во-вторых, эти формулы не отражают в явном виде влияние исходных параметров орбиты. Для качественного анализа возмущенного движения наиболее удобно использовать метод вариации произвольных постоянных Лагранжа, которые в небесной механике называются методом оскулирующих элементов.
4.2 Метод оскулирующих элементов
Согласно идее этого метода, мы можем считать, что
небесное тело (или КА) всегда движется по коническому сечению, но такому,
которое изменяется в каждый момент времени. Другими словами, решение задачи
возмущенного движения определяются теми же шестью первыми интегралами, что и
решение задачи невозмущенного движения, но элементы орбиты
, i,
, p, e, r рассматриваются не как
постоянные, а как некоторые функции времени:
i=i(t),
r=r(t) и т.д.
Элементы орбиты должны быть определены так, чтобы уравнения возмущенного движения удовлетворялись. С точки зрения механики сущность такого метода состоит в замене реальной возмущенной траектории движения КА множеством орбит (траекторий невозмущенного движения), которые в каждый момент времени соприкасаются с реальной траекторией.
Реальная траектория является огибающей семейства орбит невозмущенного движения. В астрономии соприкасающиеся кривые носят название оскулирующих, поэтому указанные выше траектории невозмущенного движения называют оскулирующими орбитами, а их элементы - оскулирующими элементами. Идея метода иллюстрируется на рисунке 4.1.
Пусть на тело, движущееся по кеплеровой орбите С0, элементы которой однозначно определены начальными условиями, в точке Р1 подействовала возмущающая сила. Будем считать действие силы импульсным, т.е. мгновенным.
Рисунок 4.1 – Идея метода оскулирующих элементов.
Положение точки Р1, новое направление и величина скорости определяют новое коническое сечение С1, по которому тело будет двигаться до тех пор, пока оно снова не будет возмущено какой-нибудь внешней силой. Пусть это будет точка Р2, в которой тело перейдет на новое коническое сечение С2. Если это будет продолжаться до бесконечности, то тело будет двигаться по коническим сечениям, время от времени изменяющимся под действием возмущающих сил. В пределе импульсы переходят в непрерывную возмущающую силу, и орбита становится коническим сечением, все элементы которого непрерывно изменяются.
Таким образом, оскулирующая орбита определяется как орбита, элементарная дуга которой совпадает с элементарной дугой действительной орбиты. Время, за которое тело проходит эту элементарную дугу, называется эпохой соприкосновения (оскуляции). В течение отдельной эпохи соприкосновения соответствующее оскулирующее коническое сечение можно использовать для определения положения и скорости тела с достаточной степенью точности. Если бы во время данной эпохи соприкосновения возмущающая сила исчезла, то оскулирующее коническое сечение представляло бы с этого момента точную орбиту тела. Отклонения оскулирующих элементов от их значений в невозмущенном движении (в начальный момент) называются возмущениями элементов орбит.
Возмущения делятся на периодические (являющиеся периодическими функциями времени) и вековые (монотонно нарастающие со временем).
Для изучения свойств возмущенного движения воспользуемся двумя гипотезами.
1. Задачу будем рассматривать в импульсной постановке,
т.е. будем считать, что время действия возмущающих сил бесконечно мало. Тогда
изменением положения тела за время
t можно пренебречь и считать, что скорость
возмущенного тела мгновенно изменится на величину
V, определяемую равенством
![]()
Если ускорение а, создаваемое возмущающей силой, постоянно, то
V=a![]()
t.
2. Поскольку возмущающие силы значительно меньше силы тяготения центрального поля
javb<<F,
то можно разложить возмущающую силу на три взаимно перпендикулярных направления и рассматривать действие каждой из компонент отдельно, а затем результаты сложить.
Для определения изменения элементов орбит удобно разложить возмущающую силу по осям естественного трехгранника, т.е. по касательной, нормали и бинормали к орбите. Касательная (тан- генциальная) jT и нормальная jN силы лежат в плоскости орбиты, бинормальная jB - перпендикулярна плоскости орбиты (рисунок 4.2).
Рисунок 4.2 – Естественный трехгранник
4.3 Изменение элементов орбиты под действием возмущающих сил
4.3.1 Действие тангенциальной возмущающей силы
За положительное направление тангенциальной силы примем направление движения КА, при котором направление движения вектора скорости КА остается неизменным, а модуль увеличивается на некоторую величину. В результате получим новую оскулирующую орбиту, для определения которой воспользуемся свойствами эллипса как геометрической фигуры (рисунок 4.3)
Рисунок 4.3 – Действие тангенциальной возмущающей силы
1. Сумма расстояний от любой точки эллипса до его фокусов есть величина постоянная, равная его большой полуоси
r+r2=2a=const.
2. Касательная к эллипсу в любой его точке есть биссектриса внешнего угла, образованного радиусами- векторами, проведенными из его фокусов в эту точку
K'MF2=
K'ML.
Изменение скорости приведет к изменению большой оси эллипса (согласно интегралу энергии), а это изменит, на основании первого свойства эллипса (п.1), расстояние от точки М до второго фокуса на величину
r2=F'2F2.
Из второго свойства эллипса следует, что направление
из точки М на второй фокус остается неизменным, т.к. тангенциальная сила не
меняет направление вектора скорости, а следовательно и положение касательной. В
результате этого второй фокус сместится по линии MF2 в точку (рисунок 4.3) F'2,
что повлечет за собой изменение эксцентриситета орбиты и поворота линии апсид. Изменение
элементов орбиты a, e,
при действии тангенциальной силы описывается
тремя соотношениями

Выведем данные соотношения, пользуясь рисунком 4.3. Тангенциальная сила, направленная по вектору скорости (положительное направление) в соответствии со вторым законом Ньютона изменит модуль вектора скорости
|
|
при этом направление скорости останется неизменным.
Изменение большой полуоси при действии тангенциальной силы можно найти, пользуясь интегралом энергии
|
|
В соответствии со свойствами эллипса изменение скорости dV повлечет изменение большой полуоси da, но радиус-вектор r при этом не изменится. Продифференцируем (4.5) по времени
|
|
т.к. ![]()
![]()
Окончательно учитывая, что
![]()
получаем соотношение
|
|
Из подобия треугольников F2F'2F''2 и F2МК (см. рисунком 4.3) следует, что
![]()
При этом
MK=r
sin(180°-
)=r
sin
,
F2M=r2=2a-r,
F2F'2=
r2=2da.
F2K=2c-r
cos (180°-
)=2c+r
cos
.
Пользуясь подобием треугольников, получаем

|
|

![]()
Изменение аргумента перигея вследствие малости можно заменить тангенсом его значения

При нахождении тангенса можно пренебречь изменением
межфокусного расстояния. Данное изменение 2dc практически не скажется на
величину tg
(d
). Тогда
![]()
Перейдем от данного выражения к значениям производных. Подставляя (4.7), получим соотношение
|
|
Из выражения для эксцентриситета е=с/а производная
будет иметь вид
![]()
Переходя к дифференциалам, получаем
![]()
Подставив в это выражение значения из (4.8), получим
![]()
![]()
Перейдем от дифференциала de к производной и подставим из (4.7)
|
|
Проанализировав полученные выражения, приведя их к более компактному виду, можно сделать следующие выводы:
1) Из выражения (4.7) после преобразований получим:
![]()
Из данного выражения следует, что большая полуось эллипса при положительном направлении импульса dV (силы FT) увеличивается независимо от того, в какой точке орбиты приложен импульс (сила FT). Тангенциальный импульс (сила FT), направленный против вектора скорости, будет вызывать постоянное уменьшение большой полуоси а (см. рисунок 4.4).
Рисунок 4.4 – Изменение большой полуоси под действием тангенциальной силы
2) Из выражения (4.9), подставив равенство
,
получим
![]()
или
|
|
Упростим данное выражение, воспользовавшись интегралом энергии
![]()
![]()
Умножим левую и правую части равенства на произведение
a
r
![]()
Подставим в исходное соотношение (4.11)
![]()
Из данного выражения следует, что при положительном
импульсе (сила FT), когда sin
>0 т.е. u
[0,180°] (участок движения от перигея до апогея),
перигей смещается в сторону движения КА - в положительном направлении. На
участке движения от апогея, перигей смещается в направлении противоположном
движению КА, d
<0, т.к. при u
[180°,360°]
sin
>0. В
апогее и перигее sin
=0 и тангенциальное возмущение не приведет в этих
точках к развороту линии апсид.
3) Из выражения (4.10), произведя замену
,
получим
![]()
Анализируя это соотношение, можно сказать, что de имеет две составляющих:
-периодическую , которая определяется истинной аномалией;
- постоянно действующую - вековую составляющую.
Вековая составляющая постоянно возрастает, если FT положительна (dV>0) и, наоборот, вековая составляющая постоянно уменьшается, если FT<0 (dV<0-импульс против движения КА).
Периодическая составляющая меняется подобно графику
косинуса, при u
[270°,90°]
она больше нуля, при u
[90°,270°] - меньше нуля. Амплитуда периодической
составляющей определяется соотношением текущей скорости V и сообщаемым
импульсом dV. Действие тангенциальной силы при движении КА по эллиптической
орбите приводит к вековым уходам большой полуоси и эксцентриситета. Аргумент
перигея испытывает периодические отклонения. Элементы орбиты
и i, определяющие положение
плоскости орбиты в пространстве, при действии тангенциальной возмущающей силы
не изменяются.
4.3.2 Действие тангенциальной возмущающей силы
За положительное направление нормальной силы принимаем направление вглубь орбиты. Вследствие малости возмущающей силы можно считать, что она не изменит величину орбитальной скорости, а только повернет ее вектор в плоскости орбиты на некоторый угол. Следовательно, большая полуось орбиты останется неизменной, а угол поворота вектора скорости определится соотношением
|
|
поскольку ![]()
то ![]()
Из первого свойства эллипса следует, что расстояние от точки приложения силы до второго фокуса не изменится (а=const, r=const), а согласно второму свойству - направление на второй фокус должно повернуться на угол:
= -2d
.
Это приведет к повороту радиуса r2 вокруг точки М на
угол
= -2d
, а, следовательно, и
к изменению эксцентриситета орбиты и положения линии апсид. Эксцентриситет изменится,
поскольку изменится угол
.
![]()
Изменения элементов
и
описываются двумя соотношениями
1. ![]()
2.![]()
Выведем данные соотношения.
Заменим дугу окружности, по которой смещается фокус F на касательную к данной окружности в точке F2. Это означает, что (см. рисунок 4.5)
![]()
где -
радиус окружности разворота r2. При этом
треугольники F2 F'2 F''2 и F2MK являются подобными треугольниками.
Рисунок 4.5 – Действие нормальной возмущающей силы
Из подобия треугольников следует, что
.
При этом
MK
=r
sin![]()
MF2
=r2 ,
KF2
=2c+r
cos
,
F2F'2
=-2r2 d
, т.к. d
<0.
Следовательно
![]()

Учитывая, что угол разворота линии апсид очень мал, можно записать

Используя (4.4), можем записать первое соотношение
![]()
Изменение межфокусного расстояния, исходя из рисунка 4.5, равно отрезку
![]()
![]()
Воспользуемся ранее выведенным соотношением дифференциала de
![]()
Поскольку da=0, то большая полуось в данном случае не изменится.
В итоге, подставляя (4.4) в последнее выражение, имеем
![]()
Это второе соотношение. Запишем его в более удобном
для анализа виде. Т.к.
, то:
1. ![]()
2.![]()
Положительный импульс dVN (сила FN), направленный внутрь орбиты, вызовет вековой уход перигея, направленный по движению КА (dV>0), и периодическую составляющую ухода перигея, изменяющуюся по закону косинуса. При этом, если межфокусное расстояние 2ае=2с мало, т.е. орбита близка к круговой, амплитуда периодических колебаний может быть очень значительной.
Изменения эксцентриситета орбиты под действием нормального импульса dVN (силы FN) имеют периодический характер.
Элементы орбиты
и i под действием нормальной силы FN не изменяются,
т.к. сила FN принадлежит плоскости орбиты.
Очевидно, что тангенциальная и нормальная возмущающие
силы приведут к изменению времени прохождения перигея
, т.к. последний смещается относительно
текущей точки орбиты на угол d
. Выразить изменение этого элемента в зависимости
от возмущающих сил в явной форме невозможно. Поэтому вместо него берут
начальные значения истинной аномалии. Зная ее изменение, можно найти изменение
через эксцентрическую
аномалию и уравнение Кеплера.
Изменение начального значения истинной аномалии связано с изменением аргумента перицентра
d
0=-d
.
Чтобы определить ее суммарное изменение под действием
тангенциальной и нормальной возмущающих сил, достаточно просуммировать правые
части для выражения
:
![]()
4.3.3 Действие бинормальной возмущающей силы
В результате действия бинормальной возмущающей силы
вектор скорости КА повернется на угол d
', равный
|
|
Поскольку
![]()
то
![]()
Из-за малости возмущающей силы можно считать, что действие бинормальной силы не изменяет величину и наклон вектора скорости к ПМГ, следовательно, большая полуось орбиты не изменится.
Положение второго фокуса орбиты относительно центра притяжения также останется неизменным. Это означает, что бинормальная сила не вызывает изменения эксцентриситета орбиты
a=const, e=const .
Изменения получат элементы орбиты i,
,
. Для определения изменений данных
элементов орбиты воспользуемся равенствами, которые следуют из рисунка 4.6.
Рисунок 4.6 – Действие бинормальной возмущающей силы
V
= cos
, dVв
Vd
, dVв
V
d
.
Тогда
Vd
'=V
db=Vcos
d
.
Откуда получаем, что
![]()
d
- угол разворота плоскости орбиты относительно
текущего радиуса r.
Учитывая (4.13), получим
|
|
Умножим числитель и знаменатель (4.14) на r.
Числитель, равный Fв
r представляет собой момент М бинормальной силы
относительно центра Земли. Знаменатель, равный mVcos
, есть кинетический момент орбитального
движения К, равный К=I
, где угловая скорость в нашем случае есть , а момент
инерции КА относительно центра Земли равен I=mr2. Следовательно
![]()
Формулу (4.14) можно записать в виде
![]()
т.е. она принимает вид аналогичный виду формулы, выражающей угловую скорость регулярной прецессии гироскопа с кинетическим моментом К под действием внешнего момента М, перпендикулярного К. Это свойство орбитального движения позволяет в ряде случаев довольно четко представить качественную картину возмущенного движения, не прибегая к сложным математическим выкладкам.
Для определения изменений элементов орбиты, от которых зависит положение КА в пространстве, разложим угловую скорость по направлениям ОД и ОЕ (см. рисунок 4.7)
Рисунок 4.7 – Изменение элементов орбиты под действием бинормальной составляющей
Составляющая
OE есть скорость изменения наклонения
|
|
Составляющая по направлению ОД вызывает изменение
прямого восхождения и аргумента перигея. Разложим
OD на угловую скорость движения
восходящего узла и угловую скорость движения перигея орбиты. Для этого обратимся
к рисунку 4.8.
Рисунок 4.8 – Изменение положения восходящего узла орбиты и перигея
Из рисунка 4.8 следует, что
![]()
и
![]()
(Знак минус указывает на то, что перигей смещается в отрицательном направлении, т.е. против движения КА).
После подстановки
![]()
получаем
|
|
|
|
|
Мы получили три соотношения (4.15), (4.16), (4.17), дающие возможность проанализировать изменения наклонения, прямого восхождения и аргумента перигея. Из (4.14) следует, что
![]()
Воспользуемся полученным равенством и перейдем к дифференциалам в соотношениях (4.15), (4.16), (4.17)
![]()
Отсюда следует:
![]()
![]()
,
![]()
![]()
Для околокруговых орбит, на которых находятся ДОС и ТК
проекция V
(составляющая V в плоскости горизонта) почти равна значению скорости V, которая
в свою очередь меняется очень незначительно. Исходя из этого можно сделать
вывод, что изменения di, d
, d
носят периодический характер. Наклонение
изменяется по закону cos u, а
и
по закону sinu. При этом отметим, что если
импульс dVB (сила FB) будет изменять свой знак также, как и функция sin u, то
изменение долготы восходящего узла и аргумента перигея за виток не будет
нулевым и будет накапливаться от витка к витку. Изменения наклонения за виток
при таком законе изменения импульса dVB (или силы FB) будут нулевыми, т.к. на
интервале половины витка u
[0,
] косинус изменит свой знак.
4.4 Уравнения оскулирующих элементов
На основании полученных соотношений можно записать дифференциальные уравнения для оскулирующих элементов орбиты под действием возмущающей силы, разложенной по осям естественного трехгранника. Для этого просуммируем дифференциальные уравнения соответствующих кеплеровских элементов, выведенные выше для каждой проекции возмущающей силы естественного трехгранника
|
|
В данных уравнениях удобно перейти к одной независимой переменной, используя для этого истинную аномалию.
Учитывая, что
![]()
где
- мгновенная орбитальная угловая скорость
движения КА, введем следующие обозначения
![]()
C=(1-ecos
),
D=1+e2,
G=1-e2,
H=3+e2,
![]()
Угловая орбитальная скорость движения КА по круговой орбите радиуса а вычисляется по формуле
![]()
Используя ранее введеные выражения, получим
C=rVcos
,
![]()
![]()
![]()
Это позволит записать
![]()
Докажем это равенство

![]()
Запишем систему (4.18) в ином виде - как систему дифференциальных уравнений с одной переменной u (истинную аномалию)
|
|
Основные возмущающие силы, действующие на орбиту спутника, обычно задаются в орбитальной СК, поэтому в уравнениях (4.19) целесообразно перейти к возмущающим силам в орбитальной СК. Для этого воспользуемся рисунком 4.9 и равенствами, следующими из него
|
|
Рисунок 4.9 – Действие возмущающей силы в орбитальной СК
Т.к.
![]()
и
![]()
то уравнения (4.20) можно записать в виде
|
|
Эти уравнения используются при изучении возмущенного движения КА.
4.5 Уравнения изменения составляющих орбитальной скорости под
При изучении орбитального движения в предположении, что время моделирования орбитального движения не превышает 3 витков, позволяет сделать ряд допущений, что позволяет вывести формулы орбитального движения в более компактном виде. Данные уравнения получают следующим образом.
Вектора интеграла площадей, радиус-вектора, скорости и производной скорости в орбитальной системе координат КА записываются следующим образом
C=(0, 0, С);
r=(0, r, 0);
V=(VX, VY, 0);
=(fX, fY, fZ),
где f = (fX, fY, fZ) - суммарный вектор возмущающих и управляющих ускорений.
Производная интеграла площадей вычисляется следующим образом
![]()
или в скалярной форме
|
|
Под воздействием возмущений происходит изменение величины интеграла площадей. Уравнение, описывающее это изменение, имеет вид
,
где
- значение интеграла площадей в нулевой момент
времени. В скалярной форме это уравнение имеет вид
|
|
Из уравнений (4.22) и (4.23) получаем выражения
|
|
|
|
|
|
|
|
Из уравнения (4.25) видно, что
x=0. Поскольку
известно, что С=r x Vи p=C2/
, то
.
Взяв производную от этого выражения, получаем
.
Учитывая уравнение (4.26) то, что
, получаем
|
|
Уравнение плоского вращательного движения ПКА записывается следующим образом
![]()
В скалярной форме, с учетом (4.25), последнее уравнение записывается в виде
.
Таким образом, можно записать выражение для составляющей производной скорости, лежащей в плоскости местного горизонта
|
|
Для составляющей производной скорости, направленной по местной вертикали, разобьем составляющую ускорения fy на две
- составляющая гравитационного ускорения
центрального ньютоновского поля притяжения;
f2y - остальные возмущения.
Тогда получаем
![]()
или
|
|
Уравнения (4.27), (4.28), (4.29) составляют систему дифференциальных уравнений, описывающих движение ПКА по орбите под воздействием возмущений. Данная система уравнений является системой первого порядка. Она позволяет учесть в достаточно простом виде любые возмущения, действующие на центр масс ПКА, движущийся в околоземном пространстве.
4.6 Возмущенное движение КА в гравитационном поле Земли
Невозмущенное (кеплеровское) движение КА происходит в
условиях действия на КА лишь одной силы - силы притяжения Земли. Силовая функция
сферической Земли (центрального гравитационного поля), как уже упоминалось в п. 1.5, есть U=
/r. В этом же разделе
приводилась силовая функция сфероидальной Земли. Эта модель часто используется
в практике и является достаточно хорошим приближением реального гравитационного
поля для математического моделирования движения КА в течение нескольких витков:
|
Uсфероид = |
Если раскрыть скобки (4.30), то видно, что
силовая функция сфероидальной Земли состоит из двух слагаемых: силовой функции
сферической Земли - Uц=
и силовой функции, описывающей гравитационное
возмущение со стороны Земли
=![]()
Гравитационное возмущение
- это возмущающее ускорение, которое
будет действовать на КА, приводя его движение к отличию от кеплеровского.
Найдем возмущающее ускорение, пользуясь свойствами силовой
функции. Производная от Upro по любому направлению есть проекция возмущающего
ускорения на данное направление. Рассмотрим направления, определяемые
единичными векторами lr, l
и l
(рисунок 4.10).
Рисунок 4.10 – Гравитационные возмущающие ускорения
Для расчета проекций
на выбранные направления возьмем производные по
каждому выбранному направлению
![]()
где Р20(sin
)=3 sin2
-1;
![]()
![]()
![]()
Перейдем от найденных ускорений к ускорениям в проекциях на оси орбитальной СК.
Рассмотрим рисунок 4.10.
Из рисунка следует:
|
|
где А - текущий азимут.
Рисунок 4.11 – Гравитационные возмущающие ускорения в ОСК
Решая прямоугольный сферический треугольник АВС выразим sinA и cosA. В соответствии с правилами, применяемыми для сферических треугольников, для любого из пяти, указанных на рисунке 4.12 элементов (прямой угол исключается, вместо катетов рассматриваются их дополнения до 90°), выполняются соотношения:
1) Косинус любого элемента равен произведению синусов двух противолежащих элементов;
2) Синус любого элемента равен произведению котангенсов прилежащих элементов.
Рисунок 4.12 – Гравитационные возмущающие ускорения в ОСК
На основании 1-го соотношения
cos(i)=sin(A)
sin(90-
)=sin(A)
cos(
)
следовательно,
.
Также можно записать:
cosA=sin(i)
sin(90-a)=sin(i)
cos(a),
cosU=sin(90-a)
sin(90-
)=cos(a)
cos(
),
![]()
тогда ![]()
Из сферического треугольника следует:
cos(90-
)=sin
=sin(u)
sin(i).
Пользуясь выведенными соотношениями, запишем (4.31) в другом виде:
![]()
![]()
![]()
![]()
![]()
Решение системы (4.21) дифференциальных уравнений при действии найденных возмущений представлено графиками изменения оскулирующих элементов орбиты от времени за один виток (рисунки 4.13, 4.14, 4.15, 4.16, 4.17, 4.18, 4.19, 4.20, 4.21, 4.22, 4.23, 4.24). Здесь же приведены графики изменения возмущений, действующих на КА по осям орбитальной СК. Расчеты проводились для существующей на май 1992 г. околокруговой орбиты станции "МИР" (высота ~ 400 км), движение КА начинается в восходящем узле орбиты.
Анализ возмущений показывает, что бинормальное
ускорение
изменяется
по закону синуса вместе с изменением аргумента широты КА. Такой характер
изменения бинормального возмущения приводит к прецессии орбиты.
|
Рисунок 4.13 – Изменение большой полуоси орбиты |
Рисунок 4.14 – Изменение фокального параметра |
|
Рисунок 4.15 – Изменение наклонения |
Рисунок 4.16 – Изменение эксцентриситета |
Из рисунка 4.17 мы видим, что наряду с вековой составляющей прецессии имеется периодическая составляющая изменения линии узлов. Периодическая составляющая за виток не изменит положение восходящего узла. Результирующую прецессию линии узлов определяет вековая составляющая. Приведем аналитическую формулу для расчета векового ухода прямого восхождения за виток:
|
|
где i0 , P0 - значения наклонения и фокального параметра в начале оборота;
RE=6378140 м; С20=-0,00109808.
|
Рисунок 4.17 – Изменение долготы восходящего узла |
Рисунок 4.18 – Изменение аргумента широты перигея |
Совместное действие возмущений по трем осям ОСК
приводит к изменению положения перигея. Вследствие того, что орбита ДОС имеет
малый эксцентриситет, амплитуда периодических колебаний велика и на ее фоне на
приведенном графике (рисунок 4.18) незаметен
вековой уход перигея, который тоже имеет место и составляет за виток ![]()
vec
0,13°.
Аналитическая формула для расчета вековых уходов перигея
|
|
Из формулы (4.33) следует, что если сомножитель (1-5cos2 i0)=0, то вековой уход отсутствует. Следовательно cos i0=1/5, i0=63°26' или 116°34'.
Вычисленные наклонения характеризуются лишь периодическими колебаниями аргумента перигея, вековые уходы перигея при этих наклонениях отсутствуют.
При наклонениях, принадлежащих интервалу:
i
[0
63° 26'] - перигей имеет уход по полету КА,
i
[116° 34'
180°] - (в положительном направлении),
i
[63°26'
116°34'] - перигей совершает вековой уход против
полета КА.
Данное явление объяснимо физически. Поскольку Земля сжата с полюсов, то со стороны экваториальной области на КА действует "избыток притяжения".
|
Рисунок 4.19 – Изменение аргумента широты КА |
Рисунок 4.20 – Изменение истинной аномалии |
Если КА совершает движение большей частью в данной экваториальной области (при малых наклонениях), то на КА постоянно действует положительное нормальное ускорение (вспомним действие нормального возмущения на орбиту), направленное внутрь орбиты (рисунок 4.5), заставляющее линию апсид разворачиваться по движению КА.
Если же КА совершает большую часть своего пути над
полярными областями Земли, то на него действует "недостаток
притяжения" в полярных областях (в сравнении с Землей-сферой). Такие
орбиты возможны при наклонениях в некоторой окрестности i
[90-
, 90 +
].
|
Рисунок 4.21 – Изменение скорости КА |
Рисунок 4.22 – Изменение тангенциального возмущения |
Для станции "МИР" большая часть витка проходит под действием положительного нормального ускорения, которое разворачивает линию апсид (перигей) по движению КА. Только периодические колебания совершают параметры a, P, e, i. Большая полуось определяет полную механическую энергию КА. Геометрические размеры орбиты не изменяются - поскольку гравитационное поле Земли не приводит к изменению полной механической энергии КА. Изменение Р и а характеризует лишь "перекачку" потенциальной энергии в кинетическую и обратно. Т.к. эксцентриситет - это форма орбиты, т.е. соотношение метрических размеров Р и а, а эти параметры меняются периодически, то периодически меняется и е. Наклонение орбиты совершает лишь периодические колебания, вековой уход наклонения отсутствует. Здесь напрашивается аналогия орбиты КА с гироскопом, который сохраняет стабильное положение в пространстве.
Следует отметить, что с уменьшением бинормального
ускорения в экваториальной области, наклонение увеличивается, и уменьшается
вместе с ростом бинормального ускорения при удалении КА от экватора (при
движении к точкам вертекса орбиты, где широта подспутниковой точки
=i (наклонению орбиты)).
Об изменении времени прохождения перигея можно судить
по графику изменения текущей истинной аномалии от времени. В нашем случае аргумент
КА u=u(t) есть линейная функция времени, поскольку орбита почти круговая и
имеет почти постоянную угловую орбитальную скорость. Т.к.
(t)=u(t)-
(t), то можно сделать вывод,
что для орбит пилотируемых КА истинная аномалия u и время прохождения перигея
определяются
характером изменения широты перигея
.
|
Рисунок 4.23 – Изменение нормального возмущения |
Рисунок 4.24 – Изменение бинормального возмущения |
4.7 Влияние атмосферы Земли на движение КА. Время существования КА
На орбитальное движение КА возмущающее воздействие оказывает сопротивление атмосферы, особенно для низких орбит. Сила лобового сопротивления направлена против скорости КА.
При движении по круговой орбите КА, теряя вследствие сопротивления атмосферы свою энергию, будет двигаться с каждым витком все ниже и ниже по скручивающейся спирали, причем каждый виток спирали будет мало отличаться от окружности. Вследствие уменьшения размеров орбиты период обращения КА также будет уменьшаться. Ниже 110-120 км плотность атмосферы резко возрастает и КА не может завершить очередной виток. Траектория его круто изгибается вниз и КА падает почти отвесно (рисунок 4.33). Критической является орбита с периодом обращения 86,5-86,7 мин (Н =110-120 км).
КА, движущийся по эллиптической орбите, испытывает максимальное торможение в перигее. Схематично можно представить таким образом, будто на него в окрестности перигея действует отрицательная (против движения) касательная сила, поэтому апогей будет интенсивно понижаться. Перигей также будет снижаться, но в значительно меньшей степени.
Таким образом, с каждым новым оборотом орбита КА приближается к круговой. Эксцентриситет эллиптических орбит в процессе торможения атмосферой может уменьшиться в десятки раз.
Изменение атмосферы не только по высоте, но и по сезонам и временам суток, а также влияние солнечной активности на состояние атмосферы, не позволяет, в большинстве случаев, надежно прогнозировать параметры атмосферы. Поэтому для практических расчетов используют среднестатистические модели атмосферы. В зависимости от требуемой точности расчетов в моделях атмосферы могут учитываться временные изменения характеристик атмосферы (динамические модели).
Воздушные массы, окружающие земной шар, увлекаются
также во вращательное движение (говорят: "атмосфера вращается вместе с
Землей"). При этом нижние слои атмосферы вращаются с той же угловой
скоростью, что и сама Земля. Верхние слои атмосферы увлекаются во вращательное
движение частично. Степень увлечения атмосферы во вращательное движение
задается так называемым коэффициентом захвата Кз
(0,1).
Для качественного анализа влияния атмосферы на движение КА возьмем статическую модель атмосферы (параметры такой атмосферы не изменяются со временем), с учетом ее вращения с угловой скоростью, равной угловой скорости вращения Земли (Кз= 1).
На высотах более 150 км атмосфера Земли крайне разрежена, тем не менее она препятствует движению КА, создавая силу лобового сопротивления, которая, при принятых условиях, строго направлена против вектора скорости КА
![]()
Т.е. Q-сила лобового сопротивления есть отрицательная сила, направленная против оси Т естественного трехгранника.
Из п. 4.3.1 вытекает, что тангенциальное возмущающее ускорение оказывает свое воздействие на большую полуось, аргумент широты перигея и эксцентриситет орбиты КА, т.е.
|
|
Подставим в (4.34) вместо FT силу лобового сопротивления Q. В результате получим
|
|
где
- баллистический коэффициент.
Не решая (4.35), можно сделать некоторые выводы:
1) Все величины, входящие в правую часть первого
уравнения. положительны. Следовательно, производная
, т.е. большая полуось, а значит и
геометрические размеры орбиты, постоянно уменьшаются;
2) В результате воздействия атмосферы перигей орбиты КА будет испытывать периодические уходы. Итоговый уход перигея за один виток равен нулю.
3) Эксцентриситет наряду с периодической
(колебательной) составляющей имеет вековую составляющую. Итоговый уход
эксцентриситета за один виток не равен нулю. Поскольку постоянно действующая
часть производной S
e<0, то в результате эксцентриситет орбиты
будет постоянно уменьшаться и орбита КА стремится к круговой. При этом, чем
больше эксцентриситет начальной орбиты, тем быстрей она стремится к круговой.
Для очень малых значений эксцентриситета (околокруговых орбит), эксцентриситет практически совершает периодические колебания, оставаясь очень малым по величине. Траектория движения КА представляет собой скручивающуюся спираль.
Сделанные выводы подтверждают графики, полученные в результате решения уравнений движения станции "МИР" в условиях центрального поля притяжения и при воздействии стандартной атмосферы. Данные условия моделирования позволяют выделить чисто атмосферное влияние на кеплеровское движение.
Орбита станции близка к круговой и большая полуось практически равномерно уменьшается в течение одного витка (Т= 5529 сек), (рисунок 4.25).
|
Рисунок 4.25 – Изменение большой полуоси |
Рисунок 4.26 – Изменение эксцентриситета |
На графике видно лишь качественное изменение большой полуоси. За один виток на высоте 400 км изменение большой полуоси составляет ~20 м. Из рисунка 4.26 следует, что эксцентриситет орбиты станции в течение одного витка изменяется периодически и имеет при этом незначительное вековое уменьшение.
На рисунке 4.27 показан периодический уход перигея за один виток. Итоговый уход перигея за один виток равен нулю.
|
Рисунок 4.27 – Изменение аргумента широты перигея |
Рисунок 4.28 – Изменение наклонения |
Из рисунка 4.28 и рисунка 4.29а следует, что наклонение орбиты и прямое восхождение восходящего узла орбиты не изменяются под действием атмосферы.
|
а) долгота восходящего узла |
б) истинная аномалия |
Рисунок 4.29 – Измерение параметров орбиты под воздействием атмосферы
На рисунке 4.29б показано изменение истинной аномалии, которая изменяется как линейная функция времени (поскольку орбита станции почти круговая, а уход перигея в течение витка незначителен).
На рисунке 4.30а, б представлены соответственно графики изменения скорости и тангенциального атмосферного ускорения в течение одного витка станции. Максимум скорости и атмосферного возмущения приходится на перигей орбиты.
|
а) скорость КА |
б) атмосферное ускорение |
Рисунок 4.30 – Изменение скорости КА под воздействием атмосферы
Особый интерес представляет изменение модуля скорости:
.
За счет уменьшения фокального параметра P скорость V
растет. Второй сомножитель для околокруговых орбит вследствие e
0 практически равен единице,
следовательно, по мере торможения скорость КА возрастает. Данный вывод
подтвержают результаты расчета движения ТК "СОЮЗ" по номинальной
орбите выведения в гравитационном поле Земли, имеющей полярное сжатие, и при
воздействии статической атмосферы.
|
а) большая полуось |
б) радиусы апогея rа и перигея rр |
Рисунок 4.31 – Изменение параметров орбиты под воздействием атмосферы
На рисунке 4.32б представлен график изменения скорости ТК "СОЮЗ" как функции количества витков после выведения ТК РН. Резкое увеличение скорости на 110 витке соответствует высоте ~80 км и началу атмосферного участка спуска ТК.
|
а) эксцентриситет |
б) орбитальная скорость |
Рисунок 4.32 – Изменения элементов орбиты под воздействием атмосферы
Данный парадокс можно объяснить на основании теоремы об изменении кинетической энергии тела, согласно которой изменение кинетической энергии тела равно работе действующих сил. Работу, в данном случае, совершают сила торможения атмосферы и сила притяжения Земли. Работа силы сопротивления уменьшает кинетическую энергию тела, а работа силы притяжения, за счет перехода потенциальной энергии в кинетическую, увеличивает кинетическую энергию тела. При этом, за счет большой разреженности земной атмосферы, работа силы торможения значительно меньше работы силы притяжения. Следовательно, кинетическая энергия, а вместе с ней и скорость возрастают.
Возвращаясь к вопросу о характере траектории движения ЦМ КА отметим, что по мере торможения КА снизится до такой высоты, на которой он сможет сделать только один виток, а затем войдет в плотные слои атмосферы (рисунок 4.33).
Время существования КА - количество витков, оставшихся до момента входа КА в атмосферу за счет естественного томрожения. Для КА типа "СОЮЗ" - это время полета, по истечении которого выполняется одно из двух условий.
Нmin=150 км при а > 6531 км (Тдр > 87,545 мин) или а =6531 км при Нmin >150 км (Тдр= 87,545 мин).
Рисунок 4.33 – Движение КА под влиянием атмосферы
Рисунки 4.31, 4.32 демонстрируют результаты моделирования движения ТК "СОЮЗ" на орбите выведения. Рисунок 4.31а показывает изменение большой полуоси как функции количества витков. На рисунке 4.31б представлено изменение высоты апогея и высоты перигея орбиты ТК. За счет уменьшения эксцентриситета высота апогея падает быстрее высоты перигея. На 110 витке полета ТК на орбите выведения обе высоты достигают критической отметки Н=120 км и ТК совершает естественный спуск на Землю.
На рисунке 4.32а показано изменение эксцентриситета ТК как функции количества витков после выведения. Рост эксцентриситета на 110 витке соответствует спуску ТК.
Управляемое движение КА, в результате которого происходит изменение орбиты, называется маневром.
По назначению маневра принято различать:
- корректирующие маневры;
- маневры орбитального перехода;
- маневры при выполнении операции встречи;
- маневр для схода КА с орбиты.
Любой из перечисленных видов маневров изменяет элементы орбиты, то есть по существу является маневром орбитального перехода. Однако каждый вид маневра имеет свои особенности.
5.1 Импульсные маневры коррекции элементов орбиты
Целью корректирующего маневра является, как это следует из названия, исправление или уточнение орбиты. Корректирующие маневры могут применяться для коррекции ошибок выведения; для коррекции элементов орбиты, изменяющихся под действием различных возмущающих факторов; для коррекции межпланетных траекторий и т.д.
Как правило, изменение элементов орбиты при проведении корректирующих маневров невелико. Маневры, изменяющие форму и размеры орбиты и ориентацию орбиты в плоскости, называются продольными; маневры, изменяющие положение плоскости орбиты в пространстве, - боковыми.
Если целью корректирующего маневра является изменение одного параметра орбиты, то коррекция называется однопараметрической, если двух или более - двух- или многопараметрической.
Обычно при расчете параметров корректирующего маневра стремятся найти управление, требующее минимальных энергетических затрат (оптимальное по критерию расхода топлива). Это можно сделать, пользуясь выражениями для изменения элементов орбиты под действием импульсной возмущающей силы (см. табл. 5.1). Данные выражения позволяют определить положение точек приложения импульсов, их величин и направлений в интересах коррекции тех или иных элементов.
|
Элементы орбиты |
Составляющие возмущающего воздействия |
||
|
Тангенциальная |
Нормальная |
Боковая |
|
|
|
|
|
|
|
|
|
|
|
|
|
|
|
|
|
|
|
|
|
|
|
|
|
|
Так, большая полуось орбиты изменяется лишь под действием тангенциального импульса. Следовательно, для ее коррекции нужно ориентировать вектор тяги по касательной к орбите.
Наибольшая экономичность коррекции большой полуоси, как видно из выражения
JT =(
/2
a2 V)![]()
a,
где JT-величина корректирующего импульса, достигается
при тангенциальном импульсе, прикладываемом в перигее орбиты (скорость КА максимальна).
В этом случае для заданного значения
a потребуется минимальный импульс.
Коррекция эксцентриситета может осуществляться с
помощью как тангенциального, так и нормального импульса. Тангенциальный импульс
для коррекции эксцентриситета целесообразно прикладывать в точках апсид в зависимости
от знака требуемого изменения
е. Как следует из выражения
JT={V/[2·(e+cos(
))]}·
e
величина импульса в этом случае будет минимальна.
Положение линии апсид при такой коррекции не изменится, т.к. второй фокус смещается по линии апсид.
Оптимальные точки приложения тангенциального импульса для коррекции аргумента перигея - точки Р и Р' (точки пересечения эллипса с хордой, проведенной через второй фокус (рисунок 5.1), т. к. в этом случае второй фокус смещается по перпендикуляру к первоначальной линии апсид, что обеспечивает максимальный угол ее поворота.
Рисунок 5.1 – Оптимальные точки приложения тангенциального импульса для коррекции аргумента перигея
Наряду с тангенциальным импульсом для коррекции эксцентриситета и аргумента перигея может использоваться нормальный импульс. Из анализа выражений, приведенных в табл. 5.1, можно получить точки приложения оптимальных импульсов, при этом коррекция эксцентриситета и аргумента перигея не будет сопровождаться изменением большой оси орбиты.
Из выражения следует, что нормальный импульс, приложенный в апогее или перигее орбиты, обеспечивает оптимальную коррекцию аргумента перигея. Действительно, такой импульс смещает второй фокус по дуге окружности с радиусом ПF2 или AF2 (рисунок 5.2). При малых импульсах дугу можно заменить касательной и считать, что смещение происходит по перпендикуляру к первоначальной линии апсид.
В результате эксцентриситет практически не изменится, а угол поворота линии апсид будет максимальным.
Рисунок 5.2 – Смещение линии апсид под действием нормального импульса
Необходимо отметить, что, как это следует из
выражений, приведенных в табл. 5.1, при
заданном ![]()
потребный нормальный
импульс для орбит с малыми эксцентриситетами вдвое больше тангенциального. С
увеличением эксцентриситета е эта разница уменьшается.
Для изменения эксцентриситета потребуется минимальный нормальный импульс, если он прикладывается в точках Р и Р', т.к. в этом случае второй фокус смещается в направлении (для малых импульсов) первоначальной линии апсид. В результате все смещение переходит в изменение межфокусного расстояния, что приводит к наибольшему изменению эксцентриситета е.
Для коррекции наклонения и долготы восходящего узла необходимо прикладывать к КА бинормальный импульс таким образом, чтобы он не вызывал нежелательных изменений другого элемента. Кроме того, важно, чтобы коррекция того или иного элемента производилась при минимальной потребной величине импульса, так как при этом обеспечивается минимум расхода топлива.
5.2 Маневры орбитального перехода
5.2.1 Компланарные орбитальные переходы
Эти маневры характерны значительным изменением элементов орбиты.
Если при выполнении маневра положение плоскости орбиты в пространстве не изменяется, маневр называется компланарным, если изменяется - некомпланарным.
Рассмотрим компланарные переходы. Они могут быть одноимпульсные и многоимпульсные (два, три и более).
Одноимпульсный переход возможен в том случае, если исходная и конечная орбиты имеют общую точку. Он осуществляется путем приложения управляющего импульса в этой общей точке (точнее, в ее окрестности). Такой маневр может потребоваться при переводе аппарата с круговой орбиты на высокую эллиптическую (например, для полета к Луне) или на межпланетную траекторию (рисунок 5.3).
Рисунок 5.3 – Одноимпульсный переход
В этом случае высота исходной круговой орбиты равна высоте перигея конечной орбиты.
Для определения необходимого приращения скорости запишем соответствующие выражения для скорости в общей точке этих орбит. Скорость на исходной круговой орбите
![]()
Скорость в перигее конечной эллиптической орбиты
![]()
Потребный импульс будет представлять собой разность между ними
![]()
Здесь
V представляет собой значение характеристической
скорости для одноимпульсного маневра. С помощью характеристической скорости
удобно оценивать энергоемкость маневра, так как она определяется исходя из
энергетики исходной и конечной орбит и не связана с характеристиками конкретного
КА. С другой стороны, зная потребное значение характеристической скорости,
можно определить как параметры маневра, так и тактико-технические характеристики
КА.
Переходы между непересекающимися орбитами могут быть осуществлены путем приложения двух или более импульсов. В этом случае КА в течение определенного времени движется по переходной орбите. Схемы таких переходов весьма многочисленны и разнообразны, так как они определяются назначением маневра и параметрами исходной и конечной орбит.
Рассмотрим некоторые типы орбитальных переходов:
а) переходная орбита касается исходной и конечной орбит.
Маневр осуществляется следующим образом. В некоторой
точке исходной круговой орбиты прикладывается касательный импульс
V1, который переводит
КА на переходную эллиптическую орбиту с апогеем, лежащим на высоте конечной
круговой орбиты. Затем в апогее переходной орбиты прикладывается касательный
импульс
V2,
который переводит аппарат на конечную круговую орбиту (см. рисунок 5.4).
Рисунок 5.4 – Двухимпульсный переход
Величины потребных импульсов определяются как разность между имеющейся и потребной скоростями на этих орбитах
V1 =Vппер -Vкрисх ;
V2=Vкркон-Vапер ;
суммарный импульс перехода
![]()
или, подставляя в эти соотношения соответствующие значения скоростей и выражения для эксцентриситета
е=(rа -rп)/(rа +rп),
получим
![]()
;
.
Этот переход называется Хомановским.
Угловая дальность полета по переходной орбите (угловая дальность перехода) составляет 180°, энергетические затраты на таком переходе минимальны для значения отношения rn/ra=15.6. При больших значениях rn/ra Хомановский переход становится неоптимальным;
б) переходная орбита касается исходной орбиты и пересекает конечную (см. рисунок 5.5).
Рисунок 5.5 – Случай неоптимального двухимпульсного перехода, когда переходная орбита пересекает конечную
В этом случае импульсы
V1 и
V2 будут больше, чем при касательном переходе,
однако время перехода будет меньше;
в) переходная орбита не является касательной ни к исходной, ни к конечной орбитам (см. рисунок 5.6).
Рисунок 5.6 – Случай неоптимального двухимпульсного перехода, когда переходная орбита пересекает начальную и конечную
Такой переход будет еще более быстрым, но потребует большей энергетики. Предельным случаем такого перехода будет приложение радиального импульса. Поскольку энергетика существующих КА ограничена, на практике стараются применять оптимальные в энергетическом отношении переходы. Однако можно представить ситуацию, когда время перехода будет более значимой характеристикой, чем расход топлива.
В качестве исходной и конечной орбит могут выступать и эллиптические. На рисунке 5.7 изображена схема перехода между компланарными круговой и эллиптической орбитами, причем наименьших энергетических затрат потребует переход в апогей конечной орбиты.
Рисунок 5.7 – Двухимпульсный переход между круговой и эллиптической орбитами
На рисунке 5.8 изображена схема перехода между соосными компланарными эллиптическими орбитами. Такой переход называется апсидальным (переход между апсидальными точками исходной и конечной орбит), импульс направлен перпендикулярно к линии апсид.
Рисунок 5.8 – Двухимпульсный переход между эллиптическими орбитами
Переход между соосными эллиптическими орбитами по пересекающей переходной орбите (быстрый переход) изображен на рисунке 5.9.
Рисунок 5.9 – Переход между соосными эллиптическими орбитами по пересекающей переходной орбите
На рисунке 5.10 показана одна из возможных схем перехода между несоосными эллиптическими орбитами. Переход между эллиптическими орбитами является наиболее общим случаем орбитальных переходов.
Рисунок 5.10 – Схема перехода между несоосными эллиптическими орбитами
5.2.2 Некомпланарные орбитальные переходы
Если положения плоскостей исходной и конечной орбит не совпадают, необходим маневр поворота плоскости орбиты. Наиболее простой способ поворота плоскости орбиты заключается в приложении бинормального импульса скорости в узле начальной и конечной орбит (рисунок 5.11).
Значение импульса скорости в предположении, что бинормальный импульс не меняет величину скорости, а изменяет только направление, получается из треугольника скоростей
V=2Vкр
sin(![]()
/2),
где Vкр - местная круговая скорость;
![]()
- угол поворота плоскости орбиты.
Рисунок 5.11 – Некомпланарный орбитальный переход
Из выражения для
V можно получить, что для поворота плоскости орбиты
на 1° требуется
V=144
м/с, а при ![]()
=60° потребуется
приращение скорости, равное значению местной круговой скорости, т.е. маневр поворота
плоскости орбиты является чрезвычайно энергоемким. Причем, чем больше скорость
КА, т.е. чем ниже его орбита, тем больше будет потребный импульс для поворота
плоскости орбиты на заданный угол.
В определенных условиях может оказаться выгодно
использовать переходную эллиптическую орбиту с высоким апогеем. В этом случае
маневр осуществляется следующим образом (см. рисунок 5.12). Первый
импульс
V1
прикладывается в одном из узлов начальной и конечной орбит по касательной к
исходной орбите (точка П). Этот импульс переводит КА на переходную орбиту,
лежащую в той же плоскости. В апогее переходной орбиты (который совпадает со
вторым узлом) прикладывается ортогональный импульс
V2 для поворота плоскости орбиты.
Поскольку скорость КА в этой точке значительно меньше, чем на исходной орбите,
то затраты характеристической скорости на поворот плоскости орбиты будут
меньше. Третий касательный импульс
V3, приложенный в точке П, возвращает КА на
исходную орбиту в новой плоскости.
Такой маневр называется трехимпульсным маневром поворота плоскости орбиты. Суммарный импульс характеристической скорости запишется в виде
VS=
V1+
V2+
V3.
Трехимпульсный маневр выгоден тогда, когда
VS<
V0, где
V0 - затраты характеристической
скорости на поворот плоскости орбиты с помощью одноимпульсного маневра.
Рисунок 5.12 – Трехимпульсный орбитальный переход
Исследования показали, что область параметров орбит и
углов поворота, где применение трехимпульсного маневра является энергетически
выгодным, определяется заданным углом поворота ![]()
и отношением rn/ra, где ra - апогей переходной
орбиты. Зависимость
VS от этих параметров показана на рисунке 5.13.
Как видно, для больших углов поворота энергетические затраты остаются чрезвычайно высокими.
Трехимпульсный маневр применяется для вывода КА на стационарную орбиту (r=36000 км, i=0°).
Рисунок 5.13 – Зависимость затрат характеристической скорости от величины изменения угла наклона орбиты
Несколько менее энергоемкий способ поворота плоскости орбиты состоит в разделении угла поворота на несколько частей и выполнении соответствующей последовательности трехимпульсных маневров.
Однако реализация такого маневра сложна и требует больших затрат времени.
Еще один способ уменьшения энергетических затрат на поворот плоскости орбиты - применение так называемого аэродинамического (или синергического) маневра.
Этот маневр заключается в использовании для поворота в плоскости аэродинамических сил, возникающих при движении летательного аппарата, обладающего аэродинамическим качеством, в атмосфере. В общих чертах маневр включает четыре этапа (см. рисунок 5.14):
1. Сход КА с орбиты посредством приложения тормозного импульса, движение по Кеплеровой орбите до входа в плотные слои атмосферы.
2. Полет в атмосфере со снижением, при этом скорость полета уменьшается. За счет управления по крену осуществляется маневр в боковой плоскости.
3. Подъем до первоначальной высоты за счет управления по углу атаки.
4. Разгон до орбитальной скорости на заданной высоте.
Рисунок 5.14 – Синергический орбитальный маневр
Первый и четвертый этапы выполняются при помощи тяги ракетного двигателя. При этом отдельные этапы могут совмещаться.
Анализ показывает (рисунок 5.15), что
преимущества аэродинамического маневра перед одноимпульсным начинают
обнаруживаться при K>1.5 и ![]()
>10°, где К-коэффициент аэродинамического
качества.
Рисунок 5.15 – Зависимость затрат характеристической скорости от величины требуемого угла поворота плоскости орбиты
Как видно из графика, показанного на рисунке 5.15,
аэродинамический маневр требует значительных затрат Vхар. Суммарный импульс
VS выразится соотношением
VS =
V1+
Va+
V2,
где
V1- импульс, выданный на сход с орбиты;
V2 - импульс, затраченный на восстановление
высоты орбиты;
Va - импульс на восстановление потерь скорости
при движении КА в атмосфере.
Импульсы
V1 и
V2 невелики, они составляют несколько десятков метров
в секунду и зависят от высоты орбиты. Основную часть в затратах
Vхар составляет импульс
V2, т.к. потери
скорости при движении КА в атмосфере велики.
Они тем больше, чем больше время движения, т.е. чем больше заданный угол разворота.
Так для поворота плоскости орбиты на 40° при K=2
потребуется
VS=3
км/с (для такого же поворота при помощи одноимпульсного маневра потребуется 5
км/с, см. рисунок 5.15).
Наиболее общим случаем орбитальных переходов являются такие, когда начальная и конечная орбиты не лежат в одной плоскости и имеют разные параметры.
Такие переходы называются пространственными орбитальными маневрами.
Одним из представителей этого вида маневров является трехимпульсный биэллиптический переход (т.е. переход по двум переходным эллипсам), схема которого изображена на рисунке 5.16.
Рисунок 5.16 – Схема трехимпульсного биэллиптического перехода
Список литературы
1. Алексеев К. Б., Бебенин Г. Г., Ярошевский В. А. Маневрирование космических аппаратов. - М.: Машиностроение, 1990. - 416с.
2. Балахонцев В. Г., Иванов В. А., Шабанов В. И. Сближение в космосе. М.: Воениздат, 1998. - 240с.
3. Алёшин А.В., Половников О.В. Основы теории полета космического аппарата. - М.: Наука, 1991. - 212с.
4. Кубасов В.Н., Данков Г.Ю. , Яблонько Ю.П. Методы сближения на орбите.-М.: Машиностроение, 1985. - 184с.
5. Лебедев А. А., Соколов В. Б. Встреча на орбите. - М.: Машиностроение, 1989. - 366с.
6. Левантовский В. И. Механика космического полета в элементарном изложении. - М.: Наука, 1980. - 512с.
7. Многоразовый орбитальный корабль "Буран" /Ю.П. Семенов, Г.Е.Лозино, В. Л. Лапыгин, В. А. Тимченко и др.; Под ред. Ю. П. Семенова и др. - М.: Машиностроение, 1996. - 448с.
8. Одинцов В. А., Анучин В. М. Маневрирование в космосе. - М.: Воениздат, 1984. - 152с.
9. Основы теории полета космических аппаратов/Под. ред. Г.С. Нариманова и М. К. Тихонравова. - М.: Машиностроение, 1992. - 607с.
10. http://www.satellite.srd.mtuci.ru
11. http://www.space.org.ru
12. http://www.space.com
13. http://www.intersputnik.ru
14. http://www.nasa.com






























,
.


































